11.@‚PŒ³”z’u•ªŽU•ªÍ
3ŒQˆÈã‚̕ꕽ‹Ï‚Ì·‚ÌŒŸ’è‚ðs‚¤‚É‚ÍA2ŒQ‚̕ꕽ‹Ï‚Ì·‚ÌŒŸ’è‚ð‚»‚Ì‘g‚݇‚킹‚̉ñ”•ªŒJ‚è•Ô‚µŽÀs‚µ‚È‚¯‚ê‚΂Ȃç‚È‚¢B‚±‚̂悤‚ÈŽž‚É1‰ñ‚ÅŒŸ’è‚·‚é‚à‚Ì‚Éu‚PŒ³”z’u•ªŽU•ªÍv‚ª‚ ‚éB‘ª’èƒf[ƒ^‚ɂ΂ç‚‚«‚ð—^‚¦‚é—vˆö‚ð1‚Âl‚¦‚é‚à‚Ì‚ªu‚PŒ³”z’u•ªŽU•ªÍv‚Å‚ ‚èA2‚Âl‚¦‚é‚à‚Ì‚ªu‚QŒ³”z’u•ªŽU•ªÍv‚Å‚ ‚éB‚½‚¾‚µAŠeƒf[ƒ^‚͂قڳ‹K•ª•z‚É]‚¢‚©‚“™•ªŽU‚Å‚ ‚é‚à‚̂Ƃ·‚éB
11.1@‚PŒ³”z’u•ªŽU•ªÍ
‚ ‚é‹G߂̈î‚̬ˆç‚ð3’n‹æ‚Å’²‚ׂ½Bˆî‚̬’·‚Í’nˆæ‚É‚æ‚è·‚ª‚ ‚é‚©—Lˆ×…€5%‚ÅŒŸ’è‚ðs‚¤B•Ï“®—vˆö‚Í’nˆæ‚É‚æ‚éˆá‚¢‚Å‚ ‚èA3ŒQ‚̕ꕽ‹Ï‚Ì·‚ðŒŸ’è‚·‚é‚Ì‚ÅA‚PŒ³”z’u•ªŽU•ªÍ‚ðŽÀs‚·‚éB
‚PŒ³”z’u•ªŽU•ªÍ‚ÍA•ªŽU‚ð‹‰ŠÔ•Ï“®iˆöŽqŠÔ•Ï“®:’nˆæ‚É‚æ‚é•Ï“®j‚Æ‹‰“à•Ï“®iˆöŽq“à•Ï“®:“¯ˆê’n‹æ“à‚ł̕ϓ®j‚Ƃɕª‚¯‚Ä•ªŽU”ä‚ð‹‚ßA‹‰ŠÔ•Ï“®‚ª‹‰“à•Ï“®‚æ‚è‚à‘å‚«‚¢‚©ŒŸ’肵A‹‰ŠÔ•Ï“®‚ª‹‰“à•Ï“®‚æ‚è‚à‘å‚«‚¯‚ê‚ÎA•ꕽ‹Ï‚É·‚ª‚ ‚邯‚·‚錟’è‚Å‚ ‚éB‚µ‚©‚µA‚ǂ̌QŠÔ‚Å·‚ª‚ ‚é‚©‚Í•s–¾‚Å‚ ‚éB‚ǂ̌QŠÔ‚ŕꕽ‹Ï‚É·‚ª‚ ‚é‚©‚ÍAƒ{ƒ“EƒtƒFƒ[ƒj‚Ì•û–@‚âƒVƒFƒbƒtƒF‚Ì•û–@‚Ȃǂª‚ ‚éB
11.2@1Œ³”z’u•ªŽU•ªÍ‚ÌŽÀŽ{
i1j•W–{ƒf[ƒ^‚ð“ü—Í‚µAƒc[ƒ‹‚ðŽg—p‚µA‚PŒ³”z’u•ªŽU•ªÍ‚ðŽÀs
•W–{ƒf[ƒ^‚ÅW‚ß‚ç‚ê‚È‚©‚Á‚½ƒf[ƒ^‚Í‚»‚̂܂܋󔒂ɂµ‚Ä‚¨‚B
ƒc[ƒ‹¨•ªÍƒc[ƒ‹¨•ªŽU•ªÍ:1Œ³”z’u•ªŽU•ªÍ‚ð‘I‘ð

“ü—͔͈͂ÍA€–ÚsiA’n‹æEB’n‹æEC’n‹æ‚Ì•¶Žš‚Ìsj‚ðŠÜ‚߂Ĉê“x‚̃hƒ‰ƒbƒO‚µ‚Ä•ªÍ‚·‚éƒf[ƒ^”͈͂ðŽw’è‚·‚éB擪‚Ì•¶Žš—ñ‚Ìs‚̓‰ƒxƒ‹‚Æ‚µ‚ÄŽg—p‚·‚é‚Ì‚ÅAu擪s‚ðƒ‰ƒxƒ‹‚Æ‚µ‚ÄŽg—pv‚Ì—–‚ðƒNƒŠƒbƒN‚µ‚ă`ƒFƒbƒN‚·‚éBo—Íæ‚ðŽw’肵AOKƒ{ƒ^ƒ“‚ðƒNƒŠƒbƒN‚·‚邯‚·‚ׂÉu‚PŒ³”z’u•ªŽU•ªÍ•\v‚ªŒvŽZ‚³‚ê•\ަ‚³‚ê‚éB
i2j쬂³‚ꂽu1Œ³”z’u•ªŽU•ªÍ•\v‚ðŒŸ“¢‚·‚éB


‡@‹‰ŠÔ•Ï“®‚Ì•½•û˜aSA‚ÍAŠeƒOƒ‹[ƒv‚Ì•½‹Ï‚ª‘S•½‹Ï‚©‚ç‚ǂꂂ炢‚΂ç‚‚¢‚Ä‚¢‚é‚©‚Å‚ ‚éBŠe…€iƒOƒ‹[ƒvj‚ł̕½‹Ï‚Æ‘S•W–{‚Ì•½‹Ï‚Ƃ̷‚Ì•½•û˜a‚ÉŠe…€‚ł̕W–{”‚ð‚©‚¯‚Ä‹‚ß‚éB
@@‚Ü‚½‹‰ŠÔ•Ï“®‚ÌŽ©—R“x‚ÍA…€”(ƒOƒ‹[ƒv”)-1‚Å‚ ‚éB
‡A‹‰“à•Ï“®‚Ì•½•û˜aSE‚ÍAŠe…€‚̃f[ƒ^‚ªŠe…€‚Ì•½‹Ï‚©‚ç‚ǂꂂ炢‚΂ç‚‚¢‚Ä‚¢‚é‚©‚Å‚ ‚éBŠe…€iƒOƒ‹[ƒvj‚ł̕½‹Ï‚ÆŠeƒf[ƒ^‚Ƃ̷‚Ì•½•û˜a‚ðŠe…€‚Å‹‚ßA‚³‚ç‚É‘S…€‚ŇŒv‚µ‚½‚à‚̂ł ‚éB![]()
@‚Ü‚½‹‰“à•Ï“®‚ÌŽ©—R“x‚ÍA‘S•W–{”-…€”‚Å‚ ‚éB
‡B‘S•Ï“®‚Ì•½•û˜aST‚ÍA‹‰ŠÔ•Ï“®SA‚ÆSE‹‰“à•Ï“®‚ð‰Á‚¦‚½‚à‚̂ł ‚éB‚Ü‚½‘S•Ï“®‚ÌŽ©—R“x‚ÍA‹‰ŠÔ•Ï“®‚ÌŽ©—R“x+‹‰“à•Ï“®‚ÌŽ©—R“x‚Å‚ ‚éB
ŒŸ’蓌v—ʂ͕ªŽU”ä(F):
‚Å‚ ‚èAŽ©—R“xfA,fE‚ÌF•ª•z‚É]‚¤B
(3)ŒŸ’è‚ðŽÀŽ{
‡@‰¼à‚ð‚½‚Ä‚é
‹A–³‰¼à@H0:‹‰ŠÔ•Ï“®‚ÍŒø‰Ê‚ª‚È‚¢iVAàVE)
‘Η§‰¼à@H1:‹‰ŠÔ•Ï“®‚ÍŒø‰Ê‚ª‚ ‚éiVA„VEj
‡AŒŸ’蓌v—ÊiFj‚ð‹‚ß‚é
@ŒŸ’蓌v—Ê(F):
=7.612930879@‚ÍŽ©—R“x2,33‚ÌF2,33•ª•z‚É]‚¤
‡B—Lˆ×Šm—¦5%‚Åã•Б¤ŒŸ’è‚ðŽÀŽ{(VA„VE‚ÌŒŸ’è‚Å‚ ‚é‚©‚ç‰E•Б¤ŒŸ’è‚ðŽÀŽ{)

F2,33•ª•z‚Ì5%“_‚Í3.28492433‚Å‚ ‚éBŠÏ‘ª‚³‚ꂽF’l‚Í7.612930879‚Å‚ ‚èA‚±‚Ì’l‚Í5%“_F’l‚æ‚è‚à‘å‚«‚¢B‚Ü‚½ŒÂ‚ÌŽž‚ÌŠm—¦:0.001911‚Å‚ ‚肱‚Ì’l‚Í0.05‚æ‚謂³‚¢B‚±‚ê‚©‚ç‹A–³‰¼à‚ðŠü‹p‚·‚éB‹‰ŠÔ•Ï“®‚ÍŒø‰Ê‚ª‚ ‚邯‚¢‚¦‚éB3ŒQ‚̕ꕽ‹Ï‚É·‚ª‚ ‚邯‚¢‚¦‚éBˆî‚̬’·‚Í’nˆæ‚É‚æ‚è·‚ª‚ ‚邯‚¢‚¦‚éB‚µ‚©‚µ‚ǂ̒nˆæŠÔ‚ŕꕽ‹Ï‚É·‚ª‚ ‚é‚©•s–¾‚Å‚ ‚éB
12.@ŒJ‚è•Ô‚µ‚̂Ȃ¢2Œ³”z’u•ªŽU•ªÍ
3ŒQˆÈã‚̕ꕽ‹Ï‚Ì·‚ÌŒŸ’è‚ðŽÀŽ{‚·‚鎞A‚»‚̃f[ƒ^‚ª‚Ù‚Ú³‹K•ª•z‚É]‚¢‚©‚‚΂ç‚‚«‚ð—^‚¦‚é—vˆö‚ª2‚Â(‹‰ŠÔ•Ï“®‚ð2‚Â)‚ ‚鎞‚ðl‚¦‚éB‚½‚¾‚µAˆöŽq‚Ì‘g‚݇‚킹‚É‚æ‚è‚΂ç‚‚«‚ɉ½‚ç‚©‚ÌŒø‰Ê‚ð—^‚¦‚éŒðŒÝì—p(‚¨ŒÝ‚¢‚ɉe‹¿‚ð—^‚¦‚éì—p)‚ª‚È‚¢‚Æ‚·‚éB‚±‚ÌŒðŒÝì—p‚ª”F‚ß‚ç‚ê‚鎞‚É‚ÍAŒJ‚è•Ô‚µ‚Ì‚ ‚é2Œ³”z’u•ªŽU•ªÍ‚ðŽÀŽ{‚·‚éB
12.1@ŒJ‚è•Ô‚µ‚̂Ȃ¢2Œ³”z’u•ªŽU•ªÍ
’j—•Ê‚Æ7‚‚̋ƊE•ʂɉ”C‹‹‚𒲸‚µ‚½‚Æ‚±‚ëA‰º‚̂悤‚ÈŒ‹‰Ê‚𓾂½B‚±‚̃f[ƒ^‚©‚牔C‹‹‚Ì‹‹—^‚͋ƊEŠÔ‚Å·ˆÙ‚ª‚ ‚é‚©A‚Ü‚½’j—ŠÔ‚Å·ˆÙ‚ª‚ ‚é‚©A—Lˆ×Šm—¦5%‚ÅŒŸ’è‚ðŽÀŽ{‚·‚éB‰”C‹‹‚ɂ΂ç‚‚«‚ð—^‚¦‚é—vˆö‚Í2‚‚ ‚éB1‚‚͋ƊEŠÔ‚̈Ⴂ‚Å‚ ‚èA‘¼‚Ì1‚‚͒j—ŠÔ‚̈Ⴂ‚Å‚ ‚éBŒJ‚è•Ô‚µ‚̂Ȃ¢2Œ³”z’u•ªŽU•ªÍ‚ÍA1Œ³”z’u•ªŽU•ªÍ‚Æ“¯—l‚ÉA‘S•ªŽU‚ð‹‰ŠÔ•Ï“®‚Æ‹‰“à•Ï“®‚Ƃɕª‚¯A‹‰ŠÔ•Ï“®‚ª‹‰“à•Ï“®‚æ‚è‘å‚«‚¢‚©‚Ç‚¤‚©ŒŸ’è‚ðs‚¤B
12.2@ŒJ‚è•Ô‚µ‚̂Ȃ¢2Œ³”z’u•ªŽU•ªÍ‚ÌŽÀŽ{
(1)ƒf[ƒ^‚ð“ü—Í‚·‚éB

(2)ƒc[ƒ‹‚ðŽg—p‚µAŒJ‚è•Ô‚µ‚̂Ȃ¢2Œ³”z’u•ªŽU•ªÍ‚ðŽÀŽ{
ƒc[ƒ‹¨•ªÍƒc[ƒ‹¨•ªŽU•ªÍ:ŒJ‚è•Ô‚µ‚̂Ȃ¢2Œ³”z’u‚ð‘I‘ð

•ªÍ‚ÉŽg—p‚·‚éƒf[ƒ^‚ð”͈͎w’肵AOKƒ{ƒ^ƒ“‚ðƒNƒŠƒbƒN‚·‚邯•ªÍŒ‹‰Ê‚ª•\ަ‚³‚ê‚éB
(3)•ªÍŒ‹‰Ê‚ðŒŸ“¢


‡@‘S•Ï“®(T)‚Ì•½•û˜a‚Í(ST)A‘Sƒf[ƒ^‚ª‘S•½‹Ï‚©‚ç‚ǂꂂ炢‚΂ç‚‚¢‚Ä‚¢‚é‚©‚Å‚ ‚éB
‚ÆŒÂX‚̃f[ƒ^(Xij)·‚Ì•½•û˜a‚Å‹‚ß‚éB![]()
‡A‹‰ŠÔ•Ï“®(A)‚Ì•½•û˜aSA‚ÍAŠe…€(‹ÆŠE)‚ł̕½‹Ï‚ª‘S•½‹Ï‚©‚ç‚ǂꂂ炢‚΂ç‚‚¢‚Ä‚¢‚é‚©‚Å‚ ‚éBŠe…€i‹ÆŠEj‚ł̕½‹Ï‚Æ‘S•W–{‚Ì•½‹Ï‚Ƃ̷‚Ì•½•û˜a‚ÉŠe…€‚ł̕W–{”‚ð‚©‚¯‚½‹‚ß‚éB![]()
‚Ü‚½‹‰ŠÔ•Ï“®(SA)‚ÌŽ©—R“x‚ÍA…€”(‹ÆŠE”)-1‚Å‚ ‚éB
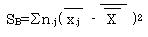
‡B‹‰ŠÔ•Ï“®(B)‚Ì•½•û˜aSB‚ÍAŠe…€(’j—)‚ł̕½‹Ï‚ª‘S•½‹Ï‚©‚ç‚ǂꂂ炢‚΂ç‚‚¢‚Ä‚¢‚é‚©‚Å‚ ‚éBŠe…€i’j—j‚ł̕½‹Ï‚Æ‘S•W–{‚Ì•½‹Ï‚Ƃ̷‚Ì•½•û˜a‚ÉŠe…€‚ł̕W–{”‚ð‚©‚¯‚½‹‚ß‚éB![]()
‚Ü‚½‹‰ŠÔ•Ï“®(SB)‚ÌŽ©—R“x‚ÍA…€”(’j—”)-1‚Å‚ ‚éB
‡C‹‰“à•Ï“®‚Ì•½•û˜aSE‚ÍASE=ST-SA-SB‚©‚ç‹‚ß‚éB
(3)ŒŸ’è‚ðŽÀŽ{
(3-1)‹‰ŠÔ•Ï“®A(‹ÆŠEŠÔ‚Ì·ˆÙ)‚ÍŒø‰Ê‚ª‚ ‚é‚©ŒŸ’è‚·‚é
‡@‰¼à‚ð‚½‚Ä‚é
‹A–³‰¼à@H0:‹‰ŠÔ•Ï“®A‚ÍŒø‰Ê‚ª‚È‚¢iVAàVE)
‘Η§‰¼à@H1:‹‰ŠÔ•Ï“®A‚ÍŒø‰Ê‚ª‚ ‚éiVA„VEj
‡AŒŸ’蓌v—ÊiFj‚ð‹‚ß‚é
@ŒŸ’蓌v—Ê(F):FA@=@
@=@8.268292683@‚ÍŽ©—R“xfA,fE(6,6)‚ÌF•ª•z‚É]‚¤
‡B—Lˆ×Šm—¦5%‚Åã•Б¤ŒŸ’è‚ðŽÀŽ{
ŠÏ‘ª‚³‚ꂽF’l:8.268‚ÍAF6,6(0.05):4.2838‚æ‚è‚à‘å‚«‚¢B‚Ü‚½‚±‚ÌŽž‚ÌŠm—¦:0.00106‚Í0.05‚æ‚è‚ଂ³‚¢A‚æ‚Á‚ÄŠü‹pˆæ‚É“ü‚éB‹A–³‰¼à‚ðŠü‹p‚·‚éB‹‰ŠÔ•Ï“®A‚ÍŒø‰Ê‚ª‚ ‚邯‚¢‚¦‚éB‹ÆŠEŠÔ‚ʼn”C‹‹‚ɈႢ‚ª‚ ‚邯‚¢‚¦‚éB
(3-2)‹‰ŠÔ•Ï“®B(’j—ŠÔ‚Ì·ˆÙ)‚ÍŒø‰Ê‚ª‚ ‚é‚©ŒŸ’è‚·‚é
‡@‰¼à‚ð‚½‚Ä‚é
‹A–³‰¼à@H0:‹‰ŠÔ•Ï“®B‚ÍŒø‰Ê‚ª‚È‚¢iVBàVE)
‘Η§‰¼à@H1:‹‰ŠÔ•Ï“®B‚ÍŒø‰Ê‚ª‚ ‚éiVB„VEj
‡AŒŸ’蓌v—ÊiFj‚ð‹‚ß‚é
@
‚ÍŽ©—R“xfB,fE(1,6)‚ÌF•ª•z‚É]‚¤
‡B—Lˆ×Šm—¦5%‚Åã•Б¤ŒŸ’è‚ðŽÀŽ{
ŠÏ‘ª‚³‚ꂽF’l:7.31707‚ÍAF1,6(0.05):5.98737‚æ‚è‚à‘å‚«‚¢B‚Ü‚½‚±‚ÌŽž‚ÌŠm—¦:0.003534‚Í0.05‚æ‚è‚ଂ³‚¢A‚æ‚Á‚ÄŠü‹pˆæ‚É“ü‚éB‹A–³‰¼à‚ðŠü‹p‚·‚éB‹‰ŠÔ•Ï“®B‚ÍŒø‰Ê‚ª‚ ‚邯‚¢‚¦‚éB’j—ŠÔ‚ʼn”C‹‹‚ɈႢ‚ª‚ ‚邯‚¢‚¦‚éB

12.3@ŒðŒÝì—p‚ÌŒŸ“¢
ŒJ‚è•Ô‚µ‚̂Ȃ¢2Œ³”z’u•ªŽU•ªÍ‚Å‚ÍAŒðŒÝì—p‚Ì—L–³‚ÍŠm”F‚Å‚«‚È‚¢BŒðŒÝì—p‚Ì—L–³‚ɂ‚¢‚Ä‚ÍAŒJ‚è•Ô‚µ‚Ì‚ ‚é2Œ³”z’u•ªŽU•ªÍ‚ðŽÀŽ{‚·‚é•K—v‚ª‚ ‚éBŒJ‚è•Ô‚µ‚̂Ȃ¢2Œ³”z’u•ªŽU•ªÍ‚ðŽÀŽ{‚µ‚ÄAŒðŒÝì—p‚ª”F‚ß‚ç‚ê‚é‚©‚Ç‚¤‚©‚ÍAƒOƒ‰ƒt‚ð•`‚¢‚Ä‚Ý‚é‚Æ‰Â”\«‚Ì—L–³‚ª•ª‚©‚éBƒOƒ‰ƒt‚̉¡Ž²‚É…€AiƒOƒ‹[ƒvA:‹ÆŠEj‚ð‚Æ‚èAc޲‚ɉ”C‹‹‚Ì’l‚ð‚Æ‚èA…€‚ai’j—j‚Ì‹‹—^‚ðüƒOƒ‰ƒt‚É쬂·‚éB‚±‚ÌŽžƒOƒ‰ƒt‚ª‘Š”½‚µ‚½‚èŒð·‚µ‚½‚肵‚Ä‚¢‚鎞‚É‚ÍAŒðŒÝì—p‚ª‚ ‚é‰Â”\«‚ª‚ ‚éB
ƒOƒ‰ƒt‚ð•`‚‚ÆA2‚‚̒¼ü‚ÍŒð·‚à‚È‚‘Š”½‚à‚µ‚Ä‚¢‚È‚¢‚Ì‚ÅAŒðŒÝì—p‚͂Ȃ¢‚à‚̂Ǝv‚í‚ê‚éB

13.@ŒJ•Ô‚µ‚Ì‚ ‚é2Œ³”z’u•ªŽU•ªÍ
‘ª’èƒf[ƒ^‚ɂ΂ç‚‚«‚ð—^‚¦‚é—vˆö‚ð2‚Âl‚¦‚éB‚±‚Ì2‚‚̗vˆö‚ɂ‚¢‚Ä‚¢‚‚‚©‚Ì…€(ƒOƒ‹[ƒv)‚É•ª‚¯•¡”‰ñƒf[ƒ^‚𑪒肷‚éB2‚‚̗vˆö‚ɂ‚¢‚Ä‚»‚ꂼ‚êŒø‰Ê‚ª‚ ‚é‚©A‚Ü‚½2‚‚̈öŽqŠÔ‚ÉŒðŒÝì—p‚ª‚ ‚é‚©‚ðŒŸ’è‚·‚éB
13.1@ŒJ•Ô‚µ‚Ì‚ ‚é2Œ³”z’u•ªŽU•ªÍ
4ŽÐ‚ÌA•¨‚ÌŽíŽq‚Ì”‰è󋵂ð”_–òŽg—pE—L‹@Í”|E–³”_–ò‚Ì3Ží—Þ‚É•ª‚¯‚Ä3‰ñ‚¸‚Šϑª‚µ‚½BA•¨‚Ì”‰è󋵂ɂ‚¢‚ÄA…€A(ƒOƒ‹[ƒvAF‰ïŽÐ‚̈Ⴂ)‚Æ…€BiƒOƒ‹[ƒvB:Í”|•û–@‚̈Ⴂj‚É‚æ‚èA”‰è󋵂ɈႢ‚ª‚ ‚é‚©‚Ü‚½ˆöŽqŠÔ‚ÌŒðŒÝì—p‚Í‚ ‚é‚©‚ðA—Lˆ×Šm—¦5%‚ÅŒŸ’è‚ðs‚¤B
(1)ƒf[ƒ^‚ð“ü—Í
ƒf[ƒ^‚Í…€A(‰ïŽÐ•Ê)‚ðc•ûŒü‚ÉA…€B(Í”|•û–@‚̈Ⴂ)‰¡•ûŒü‚ɂƂèA˜A‘±‚µ‚Ä3‰ñ‚¸‚‚̃f[ƒ^‚ð“ü—Í‚µ‚Ä‚¢‚B

(2)ƒc[ƒ‹‚ðŽg—p‚µAŒJ‚è•Ô‚µ‚Ì‚ ‚é2Œ³”z’u•ªŽU•ªÍ‚ðŽÀŽ{
ƒc[ƒ‹¨•ªÍƒc[ƒ‹¨•ªŽU•ªÍ:ŒJ‚è•Ô‚µ‚Ì‚ ‚é2Œ³”z’u‚ð‘I‘ð

•ªÍ‚ÉŽg—p‚·‚éƒf[ƒ^‚ð”͈͎w’肵AOKƒ{ƒ^ƒ“‚ðƒNƒŠƒbƒN‚·‚邯‚·‚®‚É•ªÍŒ‹‰Ê‚ª•\ަ‚³‚ê‚éB
(3)•ªÍŒ‹‰Ê‚ðŒŸ“¢
‰º‚̂悤‚È•ª‰Æ‹CŒ‹‰Ê‚ª•\ަ‚³‚ê‚éB
|
•ªŽU•ªÍ: ŒJ‚è•Ô‚µ‚Ì‚ ‚é“ñŒ³”z’u |
|
|
|
|
|||||||
|
ŠT—v |
”_–òŽg—p |
—L‹@Í”| |
–³”_–ò |
‡Œv |
|
|
|||||
|
‰ïŽÐ‚` |
|
|
|
|
|
|
|||||
|
•W–{” |
3 |
3 |
3 |
9 |
|
|
|||||
|
‡Œv |
40 |
41 |
26 |
107 |
|
|
|||||
|
•½‹Ï |
13.33333 |
13.66667 |
8.666667 |
11.88888889 |
|
|
|||||
|
•ªŽU |
9.333333 |
2.333333 |
1.333333 |
9.111111111 |
|
|
|||||
|
‰ïŽÐ‚a |
|
|
|
|
|
|
|||||
|
•W–{” |
3 |
3 |
3 |
9 |
|
|
|||||
|
‡Œv |
23 |
34 |
27 |
84 |
|
|
|||||
|
•½‹Ï |
7.666667 |
11.33333 |
9 |
9.333333333 |
|
|
|||||
|
•ªŽU |
0.333333 |
9.333333 |
7 |
6.75 |
|
|
|||||
|
‰ïŽÐ‚b |
|
|
|
|
|
|
|||||
|
•W–{” |
3 |
3 |
3 |
9 |
|
|
|||||
|
‡Œv |
33 |
33 |
30 |
96 |
|
|
|||||
|
•½‹Ï |
11 |
11 |
10 |
10.66666667 |
|
|
|||||
|
•ªŽU |
1 |
1 |
4 |
1.75 |
|
|
|||||
|
‰ïŽÐ‚c |
|
|
|
|
|
|
|||||
|
•W–{” |
3 |
3 |
3 |
9 |
|
|
|||||
|
‡Œv |
21 |
35 |
17 |
73 |
|
|
|||||
|
•½‹Ï |
7 |
11.66667 |
5.666667 |
8.111111111 |
|
|
|||||
|
•ªŽU |
1 |
6.333333 |
2.333333 |
9.861111111 |
|
|
|||||
|
‡Œv |
|
|
|
|
|
|
|||||
|
•W–{” |
12 |
12 |
12 |
|
|
|
|||||
|
‡Œv |
117 |
143 |
100 |
|
|
|
|||||
|
•½‹Ï |
9.75 |
11.91667 |
8.333333 |
|
|
|
|||||
|
•ªŽU |
9.295455 |
4.628788 |
5.515152 |
|
|
|
|||||
|
|
|
|
|
|
|
|
|||||
|
|
|
|
|
|
|
|
|||||
|
•ªŽU•ªÍ•\ |
|
|
|
|
|
|
|||||
|
•Ï“®—vˆö |
•Ï“® |
Ž©—R“x |
•ªŽU |
ŠÏ‘ª‚³‚ꂽ•ªŽU”ä |
P-’l |
F ‹«ŠE’l |
|
||||
|
•W–{ |
72.22222 |
3 |
24.07407 |
6.37254902 |
0.002483 |
3.008786 |
|
||||
|
—ñ |
78.16667 |
2 |
39.08333 |
10.34558824 |
0.000575 |
3.402832 |
|
||||
|
ŒðŒÝì—p |
50.94444 |
6 |
8.490741 |
2.24754902 |
0.073123 |
2.508187 |
|
||||
|
ŒJ‚è•Ô‚µŒë· |
90.66667 |
24 |
3.777778 |
|
|
|
|||||
|
|
|
|
|
|
|
|
|||||
|
‡Œv |
292 |
35 |
|
|
|
|
|||||
ʼn‚ÉŠe…€‚²‚Ƃ̕W–{”¥‡Œv¥•½‹Ï¥•ªŽU‚ªŒvŽZ‚³‚ê‚Ä•\ަ‚³‚êA‘±‚¯‚Ä•ªŽU•ªÍ•\‚ª•\ަ‚³‚ê‚éB•ªŽU•ªÍ•\‚ð‚݂ČŸ’è‚ðŽÀŽ{‚·‚éB
(4)ŒŸ’è‚ðŽÀŽ{

(4-1)‹‰ŠÔ•Ï“®A(‰ïŽÐŠÔ‚Ì·ˆÙ)‚ÍŒø‰Ê‚ª‚ ‚é‚©ŒŸ’è‚·‚é
‡@‰¼à‚ð‚½‚Ä‚é
‹A–³‰¼à@H0:‹‰ŠÔ•Ï“®A‚ÍŒø‰Ê‚ª‚È‚¢iVAàVE)
‘Η§‰¼à@H1:‹‰ŠÔ•Ï“®A‚ÍŒø‰Ê‚ª‚ ‚éiVA„VEj
‡AŒŸ’蓌v—ÊiFj‚ð‹‚ß‚é
@
@‚ÍŽ©—R“xfA,fE(3,24)‚ÌF•ª•z‚É]‚¤
‡B—Lˆ×Šm—¦5%‚Åã•Б¤ŒŸ’è‚ðŽÀŽ{
ŠÏ‘ª‚³‚ꂽF’l:6.37254902‚ÍAF3,24(0.05):3.008786‚æ‚è‚à‘å‚«‚¢B‚Ü‚½‚±‚ÌŽž‚ÌŠm—¦:0.002483‚Í0.05‚æ‚è‚ଂ³‚¢A‚æ‚Á‚ÄŠü‹pˆæ‚É“ü‚éB‹A–³‰¼à‚ðŠü‹p‚·‚éB‹‰ŠÔ•Ï“®A‚ÍŒø‰Ê‚ª‚ ‚邯‚¢‚¦‚éB‰ïŽÐŠÔ‚ÅA•¨‚ÌŽíŽq‚Ì”‰è󋵂ɈႢ‚ª‚ ‚邯‚¢‚¦‚éB
(4-2)‹‰ŠÔ•Ï“®B(Í”|•û–@‚̈Ⴂ)‚ÍŒø‰Ê‚ª‚ ‚é‚©ŒŸ’è‚·‚é
‡@‰¼à‚ð‚½‚Ä‚é
‹A–³‰¼à@H0:‹‰ŠÔ•Ï“®B‚ÍŒø‰Ê‚ª‚È‚¢iVBàVE)
‘Η§‰¼à@H1:‹‰ŠÔ•Ï“®B‚ÍŒø‰Ê‚ª‚ ‚éiVB„VEj
‡AŒŸ’蓌v—ÊiFj‚ð‹‚ß‚é
@
@‚ÍŽ©—R“xfB,fE(2,24)‚ÌF•ª•z‚É]‚¤
‡B—Lˆ×Šm—¦5%‚Åã•Б¤ŒŸ’è‚ðŽÀŽ{
ŠÏ‘ª‚³‚ꂽF’l:10.34558824‚ÍAF2,24(0.05):3.402832‚æ‚è‚à‘å‚«‚¢B‚Ü‚½‚±‚ÌŽž‚ÌŠm—¦:0.000575‚Í0.05‚æ‚è‚ଂ³‚¢A‚æ‚Á‚ÄŠü‹pˆæ‚É“ü‚éB‹A–³‰¼à‚ðŠü‹p‚·‚éB‹‰ŠÔ•Ï“®B‚ÍŒø‰Ê‚ª‚ ‚邯‚¢‚¦‚éBÍ”|•û–@‚̈Ⴂ‚É‚æ‚èA•¨‚ÌŽíŽq‚Ì”‰è󋵂ɈႢ‚ª‚ ‚邯‚¢‚¦‚éB
(4-2)ŒðŒÝì—p‚ÍŒø‰Ê‚ª‚ ‚é‚©ŒŸ’è‚·‚é
‡@‰¼à‚ð‚½‚Ä‚é
‹A–³‰¼à@H0:ŒðŒÝì—p‚ÍŒø‰Ê‚ª‚È‚¢iVA~BàVE)
‘Η§‰¼à@H1:ŒðŒÝì—p‚ÍŒø‰Ê‚ª‚ ‚éiVA~B„VEj
‡AŒŸ’蓌v—ÊiFj‚ð‹‚ß‚é
@
@‚ÍŽ©—R“xfA~B,fE(6,24)‚ÌF•ª•z‚É]‚¤
‡B—Lˆ×Šm—¦5%‚Åã•Б¤ŒŸ’è‚ðŽÀŽ{
ŠÏ‘ª‚³‚ꂽF’l:2.24754902‚ÍAF6,24(0.05):2.508187‚æ‚è‚ଂ³‚¢B‚Ü‚½‚±‚ÌŽž‚ÌŠm—¦:0.073123‚Í0.05‚æ‚è‚à‘å‚«‚¢A‚æ‚Á‚ÄŠü‹pˆæ‚É“ü‚ç‚È‚¢B‹A–³‰¼à‚ðŠü‹p‚·‚鎖‚͂ł«‚È‚¢BŒðŒÝì—p‚©Œø‰Ê‚ª‚È‚¢‚ðŠü‹p‚Å‚«‚È‚¢B

ˆÈã‚©‚çŽíŽq‚Ì”‰è󋵂ÍA‰ïŽÐŠÔ‚Å·ˆÙ‚ª‚ ‚è‚Ü‚½Í”|•û–@‚ł෈قª”F‚ß‚ç‚ê‚éB‚µ‚©‚µA…€1(‰ïŽÐŠÔ‚̈Ⴂ)‚Æ…€2(Í”|•û–@‚̈Ⴂ)‚Æ‚¢‚¤2‚‚̈öŽqŠÔ‚ÌŒðŒÝì—p‚ÍŒø‰Ê‚ª‚È‚¢‚Æ‚¢‚¤‰¼à‚ÍŠü‹p‚Å‚«‚È‚¢B
(5)ƒv[ƒŠƒ“ƒO
@ŒðŒÝì—p‚ÉŒø‰Ê‚ª‚È‚¢‚Æ”»–¾‚µ‚½Žž‚É‚ÍAŒðŒÝì—p‚̕ϓ®‚ð‹‰“à•Ï“®‚Ƀv[ƒ‹iˆê‚É‚·‚éj‚µ‚ÄÄ“x2Œ³”z’u•ªŽU•ªÍ‚ðŽÀŽ{‚·‚é‚Ì‚ª–]‚Ü‚µ‚¢B
ƒv[ƒ‹‚µ‚½Œã‚Ì‹‰“à•Ï“®E'‚Ì•½•û˜a‚ðSE'‚Ü‚½Ž©—R“x‚ðfE'‚Æ‚·‚邯
•½•û˜a‚ÍSE'=SE+SA~B@Ž©—R“x‚ÍfE'=fE+fA~B‚ƂȂéB![]()
‚±‚ê‚É‚æ‚èƒv[ƒŠƒ“ƒOŒã‚Ì…€A‚Ì•ªŽU”ä(FA')‚ÍA![]()
ƒv[ƒŠƒ“ƒOŒã‚Ì…€B‚Ì•ªŽU”ä(FB')‚ÍA![]()
ˆÈã‚©‚çƒv[ƒŠƒ“ƒO‚µ‚½Œã‚Ì2Œ³”z’u•ªŽU•ªÍ•\‚ð쬂·‚邯

ƒv[ƒŠƒ“ƒO‚µ‚½Œã‚Ì•ªŽU”ä‚ð—p‚¢‚ÄÄ“xŒŸ’è‚ðŽÀŽ{
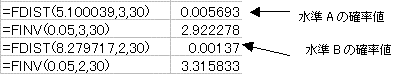
ƒv[ƒŠƒ“ƒOŒã‚Ì…€A‚Ì•ªŽU”ä:@@Ž©—R“x‚Í3‚Æ30
ƒv[ƒŠƒ“ƒOŒã‚Ì…€B‚Ì•ªŽU”ä:8.279717@Ž©—R“x‚Í2‚Æ30
‚±‚ê‚©‚çF•ª•z‚ÉŠÖ‚·‚éŠÖ”‚ðŽg—p‚µ‚ÄŠm—¦‚ð‹‚ß‚éB
…€AFF3,30=5.10039@‚Í0.005693@@…€BFF2,30=8.279717@‚Í0.005693
‚±‚Ì’l‚Í‚¢‚¸‚ê‚à0.05‚æ‚謂³‚¢B‚æ‚Á‚ÄŠü‹pˆæ‚É“ü‚éBƒv[ƒ‹Œã‚àŠü‹pˆæ‚É“ü‚é‚Ì‚ÅA…€AE…€B‚Æ‚à‚ÉŒø‰Ê‚ª‚ ‚邯‚¢‚¦‚éB

14.@2•Ï—ÊŠÔ‚ÉŠÖ‚·‚镪Í
14.1@2•Ï—ÊŠÔ‚Ì‘ŠŠÖ
2•Ï—ÊiX¥Y)ŠÔ‚ɉ½‚ç‚©‚ÌŠÖŒW‚ª‚ ‚é‚©‚𒲂ׂéB•Ï—ÊX‚Æ‚»‚ê‚Ɉˑ¶‚·‚é•Ï—ÊY‚ª‚ ‚èA‚±‚ÌXEY‚̃yƒA‚ɂȂÁ‚Ä‚¢‚éƒf[ƒ^‚ªnŒÂ‚ ‚鎞A‚±‚Ì2•Ï—ÊXEYŠÔ‚ÌŠÖŒW‚ª‚ǂꂂ炢‚ ‚é‚©‚𒲂ׂéB‚¢‚ÜlŠÔ‚Ìg’·‚Æ‘Ìd‚̃f[ƒ^ŠÔ‚ɉ½‚ç‚©‚ÌŠÖŒW‚ª‚ ‚é‚©‚𒲂ׂéBg’·‚à‘Ìd‚ೋK•ª•z‚É]‚¤ƒf[ƒ^‚Å‚ ‚éB2•ϗʊԂʼn½‚ç‚©‚ÌŠÖŒW‚ª‚ ‚é‚©‚𒲂ׂé‚É‚ÍAuŽU•z}‚ð쬂·‚év¨u‘ŠŠÖŒW”‚ð‹‚ß‚év‚̇”Ô‚ÉŽÀs‚µA‘ŠŠÖŠÖŒW‚𒲂ׂéB
14.1.1@ŽU•z}‚Ìì¬
2•ϗʂ̊֌W‚ðŽ‹Šo“I‚É•\ަ‚µA‚ǂ̂悤‚ÈŠÖŒW‚ª‚ ‚é‚©‚𒲂ׂéB
10l‚ÌŠw¶‚ª‘Œê‚Æ”Šw‚ÌŽŽŒ±‚ðŽó‚¯‚½B‚»‚ÌŒ‹‰Ê‚ª‰º‚̂悤‚ɂȂÁ‚½ŽžA‘Œê‚Ì“_”‚Æ”Šw‚Ì“_”ŠÔ‚ɉ½‚ç‚©‚ÌŠÖŒW‚ª‚ ‚é‚©‚𒲂ׂéB
‰¡Ž²‚É‘Œê‚Ì“_”Ac޲‚É”Šw‚Ì“_”‚ð‚Æ‚èA10l‚ÌŠw¶‚Ì“_”‚ðŠY“–‚·‚éˆÊ’u‚Ƀvƒƒbƒg‚µ‚Ä‚¢‚B(ŽU•z}‚ð쬂·‚é)
@EXCEL‚ɂ̓Oƒ‰ƒt쬋@”\‚ª‚ ‚é‚Ì‚ÅA‚±‚ê‚ð—˜—p‚µ‚ÄŽU•z}‚ð쬂·‚éB

쬂³‚ꂽŽU•z}
쬂³‚ꂽŽU•z}‚ðŒ©‚é‚ÆA‰Eオ‚è‚Ì’¼üó‚Ƀf[ƒ^‚ª•À‚ñ‚Å‚¢‚éŒXŒü‚ª‚ ‚éB‘Œê‚Ì“_”‚ª‚‚‚È‚ê‚ÎA”Šw‚Ì“_”‚à‚‚‚È‚éŒXŒü‚ɂȂÁ‚Ä‚¢‚éB‚±‚̂悤‚ÈŽžA³‚Ì‘ŠŠÖ‚ª‚ ‚邯‚¢‚¤B‚Ü‚½‚±‚Ì‹t‚ɉE‰º‚ª‚è‚Ì’¼ü‚ÌŒXŒü‚ª‚ ‚鎞‚É‚ÍA•‰‚Ì‘ŠŠÖ‚ª‚ ‚邯‚¢‚¤Bƒf[ƒ^‚ª‰½‚ç‚©‚Ì’¼üó‚ÌŒXŒü‚ðŽ¦‚³‚È‚¢Žž‚ÍA‘ŠŠÖ‚ª‚È‚¢‚Æ‚¢‚¤B
ŽU•z}‚ð쬂µ‚½A‰º‚̂悤‚ÈŒXŒü‚ªŒ©‚ç‚ê‚½ŽžA‚»‚ꂼ‚ê³‚Ì‘ŠŠÖE‘ŠŠÖ–³‚µE•‰‚Ì‘ŠŠÖ‚Æ‚¢‚¤B

u³‚Ì‘ŠŠÖ:‰Eオ‚è‚ÌŒXŒüvu‘ŠŠÖ–³‚µ:‰½“™ŒXŒü‚È‚µvu•‰‚Ì‘ŠŠÖ:‰E‰º‚ª‚è‚ÌŒXŒüv
14.1.2@‘ŠŠÖŒW”
ŽU•z}‚ð쬂µ‚½Œ‹‰ÊA‰Eオ‚èE‰E‰º‚ª‚è‚̂悤‚ÈŒXŒü‚ªŒ©‚ç‚ê‚½Žž‚É‚ÍA2•ϗʊԂɉ½‚ç‚©‚Ì‘ŠŠÖ‚ª‚ ‚è‚»‚¤‚Ȃ̂ÅA‚ǂꂂ炢‚Ì‘ŠŠÖ‚ª‚ ‚é‚©‚ðu‘ŠŠÖŒW”v‚ð‹‚ß‚ÄB‚»‚Ì“x‡‚¢‚ðŠm”F‚·‚éB
‘ŠŠÖŒW”‚ðr‚Æ‚·‚邯A‘ŠŠÖŒW”‚Í-1…r…+1‚͈̔͂̒l‚ð‚Æ‚éB
r‚ª-1‚ɋ߂¢‚Ù‚Ç•‰‚Ì‘ŠŠÖ‚ª‹‚¢Br‚ª+1‚ɋ߂¢‚قdz‚Ì‘ŠŠÖ‚ª‹‚¢B‚Ü‚½r‚ª0‚ɋ߂¢‚Ù‚Ç‘ŠŠÖ‚ª‚È‚¢B
(1)ƒc[ƒ‹‚ðŽg—p‚µ‚Ä‘ŠŠÖŒW”‚ð‹‚ß‚é
ƒc[ƒ‹¨•ªÍƒc[ƒ‹¨‘ŠŠÖ‚Æ‘I‘ð‚µA‘ŠŠÖŒW”‚ð‹‚ß‚é‚Q•ϗʂ͈̔͂ðŽw’è
ÅŒã‚ÉOKƒ{ƒ^ƒ“‚ðƒNƒŠƒbƒN‚·‚邯A‘ŠŠÖŒW”s—ñ‚ª•\ަ‚³‚ê‚éB


‘Œê‚̃f[ƒ^‚Æ”Šw‚̃f[ƒ^‚Ì‘ŠŠÖŒW”:0.826305‚Æ‹‚ß‚ç‚ꂽB‚±‚Ì’l‚Í+1‚ɋ߂¢‚Ì‚ÅA‹‚¢³‚Ì‘ŠŠÖ‚ª‚ ‚邯‚¢‚¦‚éB
(2)ŠÖ”‚ðŽg—p‚µ‚Ä‘ŠŠÖŒW”‚ð‹‚ß‚éB
‘ŠŠÖŒW”‚ð‹‚ß‚éŠÖ”ccorrel(•Ï”1”͈Í,•Ï”2”͈Í)

(3)•W€•ηE‹¤•ªŽU‚ð—p‚¢‚Ä‘ŠŠÖŒW”‚ð‹‚ß‚éB
•Ï—ÊX‚Ì•êW’c‚ɑ΂·‚é•W€•η‚ðƒÂxA•Ï—ÊY‚Ì•êW’c‚ɑ΂·‚é•W€•η‚ðƒÂyA2•Ï—Ê(X,Y)‚Ì‹¤•ªŽU‚ðSxy‚Æ‚·‚鎞A‘ŠŠÖŒW”(r)‚ÍA
‚Å‹‚ß‚ç‚ê‚éB
•êW’c‚ɑ΂·‚é•W€•η‚ð‹‚ß‚éŠÖ”: =stdevp(•Ï””͈Í)
2•Ï—Ê(X,Y)‚Ì‹¤•ªŽU‚ð‹‚ß‚éŠÖ”: =covar(•Ï”1”͈Í,•Ï”2”͈Í)

15. ’P‰ñ‹A•ªÍ
15.1@’P‰ñ‹AŽ®‚ð‹‚ß‚éB
2•Ï—ÊŠÔ‚É‘ŠŠÖ‚ª‚ ‚鎞A‚±‚Ì2•Ï—ÊŠÔ‚ÉüŒ`‰ñ‹A’¼ü‚ðl‚¦‚éB
üŒ`‰ñ‹A’¼ü‚ð:Y=b1x+b0‚Æ‚µ‚ÄAŽÀƒf[ƒ^‚Æ‚±‚Ì’¼ü‚Ƃ̎c·‚ðƒÃ‚Æ‚·‚éBY=b1x+b0‚Ì’¼ü‚ÍA‚·‚ׂĂ̕W–{ƒf[ƒ^‚ɂ‚¢‚ÄA‚»‚ÌŽc·‚ªÅ¬‚É‚È‚é‚æ‚¤‚ÉÝ’è‚·‚é•K—v‚ª‚ ‚éB‚±‚Ì’¼ü‚©‚çŠe•W–{ƒf[ƒ^‚Ƃ̂¸‚ê‹ï‡‚ðŒv‚邽‚ß‚ÉAŠeŽc·‚Ì•½•û˜a‚ð‚Æ‚èA‚±‚ÌŽc·•½•û˜a‚ªÅ¬‚É‚È‚é‚æ‚¤‚É‚·‚éB‚±‚̂悤‚È•û–@‚ðŬ2æ–@‚Æ‚¢‚¤B•W–{ƒf[ƒ^‚ÍA’¼ü:Y=b1x+b0‚©‚çŽc·(ƒÃ)‚¸‚ê‚Ä‚¢‚é‚Ì‚ÅAy=b1x+b0+ƒÃ‚Æ•\‚·B‚±‚ê‚©‚çüŒ`‰ñ‹Aƒ‚ƒfƒ‹‚ðyi=ƒÀ1xi+ƒÀ0
+ƒÃi@(i=1,2,cn)‚Æ‚·‚éB
Žc·(ƒÃ)‚ɂ‚¢‚Ä
‡@ƒÃi‚ƃÃj‚Í‚¨ŒÝ‚¢‚ɓƗ§‚Å‚ ‚èA³‹K•ª•zN(0,ƒÂ2)‚É]‚¤B
‡AƒÃi‚ÌŠú‘Ò’l(•½‹Ï’l)‚Í0‚Å‚ ‚èA‚Ü‚½•ªŽU‚͈ê’è‚Å‚ ‚éB
‚̉¼’艺‚ÅA’P‰ñ‹AŽ®‚ðY=b1x+b0‚Æ‚·‚邯Ab1,,b0‚̓À1,ƒÀ0‚Ì„’è—ʂł ‚éB
Žc·‚É’–Ú‚µAƒÃi=yi-Yi@‚©‚ç@ƒÃi=yi-b1¥xi-b0@‚±‚ÌŽc·‚ð‚·‚×‚Ä‚Ì•W–{‚ɂ‚¢‚ćŒv‚µA‚»‚̇Œv‚ðŬ‚É‚·‚邿‚¤‚Èb1¥b0‚ð‹‚߂邯A’P‰ñ‹AŽ®‚ª‹‚ß‚ç‚ê‚éB
ƒ°(ƒÃi)2=ƒ°(yi-b1¥xi-b0)2@@f=ƒ°(yi-b1¥xi-b0)2@‚Æ‚µ‚½ŽžA‚±‚Ìf‚ðŬ‚É‚·‚éb1¥b0‚ð‹‚ßA’P‰ñ‹AŽ®‚ð‹‚ß‚éB
15.2@à–¾•ϗʂƖړI•Ï—Ê
@‘Œê‚Ì“_”‚ðXA”Šw‚Ì“_”‚ðY‚Æ‚·‚éB‘Œê‚Ì“_”‚Æ”Šw‚Ì“_”ŠÔ‚ɂͳ‚Ì‘ŠŠÖ‚ª‚ ‚èA‘Œê‚Ì“_”‚ª‚‚‚È‚é‚ÆA”Šw‚Ì“_”‚ª‚‚‚È‚éB”Šw‚Ì“_”(Y)‚Í‘Œê‚Ì“_”(X)‚Ɉˑ¶‚µ‚Ä‚¢‚éB‚±‚̂悤‚É2•Ï—ÊŠÔ‚É’¼ü“I‚ÈŠÖŒW‚ª”F‚ß‚ç‚ê‚éB‚±‚Ì’¼ü‚ðŒvŽZ‚µ‚Ä‹‚߂邯’P‰ñ‹AŽ®‚ª‹‚ß‚ç‚ê‚éB‚±‚Ì’P‰ñ‹AŽ®‚ð—˜—p‚·‚邯A‘Œê‚Ì“_”‚©‚甊w‚Ì“_”‚ð—\‘ª‚·‚邱‚Æ‚ª‚Å‚«‚éB‚¢‚Ü—\‘ª‚µ‚Ä‹‚ß‚é‚Ì‚Íu”Šwv‚Ì“_”‚Å‚ ‚èA‚»‚Ì—\‘ª‚ÌŒ³‚ƂȂé‚Ì‚Íu‘Œêv‚Ì“_”‚Å‚ ‚éB‚±‚̂悤‚É‹‚ß‚é•Ï—Ê‚ðu–Ú“I•ϗʂ܂½‚Í]‘®•Ï—Êv‚ƌĂÑA‚»‚Ì—\‘ª‚Ì‚à‚Æ‚ƂȂé•Ï—Ê‚ðuà–¾•ϗʂ܂½‚͓Ɨ§•Ï—Êv‚Æ‚¢‚¤B–Ú“I•Ï—Ê‚Íí‚É1‚‚ł ‚èAà–¾•Ï—Ê‚ª1‚‚̎ž‚ðu’P‰ñ‹A•ªÍv‚ƌĂÑAà–¾•Ï—Ê‚ª2‚ˆÈã‚ÌŽž‚ðud‰ñ‹A•ªÍv‚Æ‚¢‚¤B
15.3@’P‰ñ‹A•ªÍ‚ðŽÀŽ{
15.3.1@•ªÍƒc[ƒ‹‚ðŽg—p‚µ’P‰ñ‹A•ªÍŽÀŽ{
(1)•ªÍ‚·‚éƒf[ƒ^‚ð“ü—Í‚µAƒc[ƒ‹¨•ªÍƒc[ƒ‹¨‰ñ‹A‚ð‘I‘ð‚·‚éB

‡@“ü—ÍY”͈͂ÍA–Ú“I•ϗʂ͈̔͂ðŽw’è‚·‚éB擪s‚ðƒ‰ƒxƒ‹‚Æ‚µ‚ÄŽg—p‚·‚鎞‚ÍA•¶Žš‚Ì“ü‚Á‚½€–Ús‚à”͈͂ɓü‚ê‚éB
‡A“ü—ÍX”͈͂ÍAà–¾•ϗʂ͈̔͂ðŽw’è‚·‚éB擪s‚ðƒ‰ƒxƒ‹‚Æ‚µ‚ÄŽg—p‚·‚鎞‚ÍA“ü—ÍY”͈͂Ɠ¯—l‚ÉŽw’è‚·‚éB
‡B•ªÍ”ÍˆÍ‚Ìæ“ªs‚ðƒ‰ƒxƒ‹‚Æ‚µ‚ÄŽg—p‚·‚鎞‚ÍAƒ‰ƒxƒ‹‚Ì—–‚ðƒNƒŠƒbƒN‚µ‚ă`ƒFƒbƒNB
‡Co—Íæ‚ÍA•ªÍŒ‹‰Ê‚ð•\ަ‚·‚éæ“ª‚̃Zƒ‹ˆÊ’u‚ðŽw’èB
‡Do—̓IƒvƒVƒ‡ƒ“‚Æ‚µ‚ÄAŽc·A•W€‰»‚³‚ꂽŽc·‚ðƒNƒŠƒbƒN‚µ‚ă`ƒFƒbƒNB
ˆÈã‚ð‚µ‚Ä‚²OKƒ{ƒ^ƒ“‚ðƒNƒŠƒbƒN‚·‚邯‚·‚®‚É•ªÍŒ‹‰Ê‚ª•\ަ‚³‚ê‚éB
(2)•ªÍŒ‹‰Ê‚𒲂ׂé
‰º‚̂悤‚È•ªÍŒ‹‰Ê‚𓾂ç‚ê‚éB
|
ŠT—v |
|
|
|
|
|
|
|
|
|
|
|
|
|
|
|
|
|
|
|
|
|
|
|
|
|
|
|
|
|
d‘ŠŠÖ R |
0.826305 |
|
|
|
|
|
|
|
|
dŒˆ’è R2 |
0.68278 |
|
|
|
|
|
|
|
|
•â³ R2 |
0.643127 |
|
|
|
|
|
|
|
|
•W€Œë· |
13.94262 |
|
|
|
|
|
|
|
|
ŠÏ‘ª” |
10 |
|
|
|
|
|
|
|
|
|
|
|
|
|
|
|
|
|
|
•ªŽU•ªÍ•\ |
|
|
|
|
|
|
|
|
|
|
Ž©—R“x |
•Ï“® |
•ªŽU |
ŠÏ‘ª‚³‚ꂽ•ªŽU”ä |
—LˆÓ F |
|
|
|
|
‰ñ‹A |
1 |
3347.328 |
3347.328 |
17.21907 |
0.003211 |
|
|
|
|
Žc· |
8 |
1555.172 |
194.3966 |
|
|
|
|
|
|
‡Œv |
9 |
4902.5 |
|
|
|
|
|
|
|
|
|
|
|
|
|
|
|
|
|
|
ŒW” |
•W€Œë· |
t |
P-’l |
‰ºŒÀ 95% |
ãŒÀ 95% |
‰ºŒÀ 95.0% |
ãŒÀ 95.0% |
|
ؕР|
15.17241 |
9.802094 |
1.547875 |
0.160242 |
-7.43127 |
37.7761 |
-7.43127 |
37.7761 |
|
‘Œê |
0.741379 |
0.178663 |
4.149587 |
0.003211 |
0.32938 |
1.153378 |
0.32938 |
1.153378 |
|
|
|
|
|
|
|
|
|
|
|
Žc·o—Í |
|
|
|
|
|
|
|
|
|
|
|
|
|
|
|
|
|
|
|
ŠÏ‘ª’l |
—\‘ª’l: ”Šw |
Žc· |
•W€Žc· |
|
|
|
|
|
|
1 |
22.58621 |
-7.58621 |
-0.57711 |
|
|
|
|
|
|
2 |
37.41379 |
-17.4138 |
-1.32472 |
|
|
|
|
|
|
3 |
74.48276 |
15.51724 |
1.180447 |
|
|
|
|
|
|
4 |
44.82759 |
15.17241 |
1.154215 |
|
|
|
|
|
|
5 |
67.06897 |
-17.069 |
-1.29849 |
|
|
|
|
|
|
6 |
44.82759 |
-4.82759 |
-0.36725 |
|
|
|
|
|
|
7 |
30 |
10 |
0.760733 |
|
|
|
|
|
|
8 |
52.24138 |
7.758621 |
0.590224 |
|
|
|
|
|
|
9 |
81.89655 |
-11.8966 |
-0.90501 |
|
|
|
|
|
|
10 |
59.65517 |
10.34483 |
0.786965 |
|
|
|
|
|
(2-1)‰ñ‹AŒW”‚ÉŠÖ‚·‚镪͌‹‰Ê‚ðŒŸ“¢
|
‰ñ‹A“Œv |
|
|
d‘ŠŠÖ R |
0.826305 |
|
dŒˆ’è R2 |
0.68278 |
|
•â³ R2 |
0.643127 |
|
•W€Œë· |
13.94262 |
|
ŠÏ‘ª” |
10 |
‡@d‘ŠŠÖR
d‘ŠŠÖR‚Æ‚ÍAd‘ŠŠÖŒW”‚Å‚ ‚èA–Ú“I•Ï—ÊY(ŽÀÛ‚Ì”Šw‚Ì“_”)‚Ɖñ‹AŽ®‚æ‚蓾‚ç‚ꂽ—\‘ª’lY'(‰ñ‹AŽ®‚©‚瓾‚ç‚ꂽ”Šw‚Ì—\‘ª“_”)‚Ì2•Ï—ÊŠÔ‚Ì‘ŠŠÖŒW”‚Ì‚±‚Ƃł ‚éBR=0.826305‚Å‚ ‚èA2•Ï—ÊŠÔ‚Ì‘ŠŠÖ‚Í‚©‚Ȃ肂¢‚Æ‚¢‚¦‚éBà–¾•Ï—Ê(‘Œê‚Ì“_”)‚Æ–Ú“I•Ï—Ê(”Šw‚Ì“_”)ŠÔ‚Ì‘ŠŠÖŒW”‚ł͂ȂA–Ú“I•ϗʂƗ\‘ª’l•Ï—Ê‚Æ‚Ì‘ŠŠÖ‚Å‚ ‚éB
‡Ad‘ŠŠÖR2
ŽÀ‘ªƒf[ƒ^‚ÍA’P‰ñ‹A’¼ü‚̂܂í‚è‚ɂ΂ç‚‚¢‚ÄŽUÝ‚µ‚Ä‚¢‚éB‚±‚̂΂ç‚‚«‚̬‚³‚¢‚Ù‚Ç’P‰ñ‹AŽ®‚Ì‚ ‚Ă͂܂肪—Ç‚¢(¸“x‚ª‚‚¢)’¼ü‚Æ‚¢‚¦‚éB‚Ü‚½à–¾•Ï—Ê(X)‚Ì–Ú“I•Ï—Ê(Y)‚É—^‚¦‚é‰e‹¿‚ª‘å‚«‚¢‚Æ‚¢‚¦‚éB‚‚܂茈’è—Í‚ª‘å‚«‚¢‚Æ‚¢‚¦‚é‚Ì‚ÅAR2‚ðŒˆ’èŒW”‚Æ‚à‚¢‚¤B

‰ñ‹A’¼ü

‡B•â³R2
Œˆ’èŒW”‚âd‘ŠŠÖŒW”‚ÍAà–¾•ϗʂ̌”‚ð‘‚₵‚Ä‚¢‚‚Æ’Pƒ‚ɑ傫‚‚È‚éŒXŒü‚ª‚ ‚éB‚»‚±‚ÅA’Pƒ‚Éà–¾•ϗʂ̔‚ð‘‚₵‚Ä‚àAŒˆ’èŒW”‚ª‘å‚«‚‚È‚ç‚È‚¢‚悤‚É’²®‚µ‚½‚à‚̂Ɏ©—R“x’²®Ï‚ÝŒˆ’èŒW”(•â³R2)‚ª‚ ‚éB

(2-2)‰ñ‹AŽ®‚ÌM—Š«‚ðŒŸ’è
(2-2.1)@•ªŽU•ªÍ•\‚ðŽg—p‚·‚é•û–@
‰ñ‹AŽ®‚ðŽg—p‚µ‚ÄAà–¾•Ï—Ê‚©‚ç–Ú“I•ϗʂ̒l‚ð—\‘ª‚·‚鎞A‚»‚Ì—\‘ª’l‚ª‚ǂꂂ炢M—Š«‚ª‚ ‚é‚Ì‚©‚ðŒŸ’è‚·‚é•û–@‚ÉA•ªŽU•ªÍ•\‚ðŽg—p‚·‚é•û–@‚ª‚ ‚éB•ªŽU•ªÍ•\‚Å‚ÍA‘S•Ï“®(ST)‚ð‰ñ‹A‚æ‚é•Ï“®(SR)‚ÆŽc·‚É‚æ‚é•Ï“®(SE)‚Ƃɕª‚¯A‰ñ‹A‚É‚æ‚é•Ï“®(SR)‚ªŽc·‚É‚æ‚é•Ï“®(SE)‚æ‚è‚ଂ³‚¯‚ê‚ÎA‰ñ‹A’¼ü‚Å‹‚ß‚½—\‘ª’l‚ÍAŽc·‚É‚æ‚é‰e‹¿‚Ì•û‚ª‘å‚«‚¢‚̂ŗ\‘ª‚ɂ͖𗧂½‚È‚¢‚Æ‚·‚é•û–@‚Å‚ ‚éBŽÀ‘ª’l‚̕ϓ®(ST)=‰ñ‹A‚É‚æ‚é•Ï“®(SR)+Žc·‚É‚æ‚é•Ï“®(SE)B
Žc·‚ª¬‚³‚¢‚Ù‚ÇAŽÀ‘ª’l‚̕ϓ®(ST)à‰ñ‹A‚É‚æ‚é•Ï“®(SR)‚ƂȂèA—Ç‚¢—\‘ª’l‚𓾂ç‚ê‚éB
’P‰ñ‹A‚ÌŽž‚Ì•ªŽU•ªÍ•\‚͉º‚̂悤‚ɂȂéB

Ž©—R“x1,n-2‚ÌF•ª•z‚É]‚¤BVR‚ªVE‚æ‚è‚à‘å‚«‚¢‚©ŒŸ’è‚·‚é‚Ì‚ÅA‰E•Б¤ŒŸ’è‚ðŽÀŽ{‚·‚éB
|
•ªŽU•ªÍ•\ |
|
|
|
|
|
|
|
Ž©—R“x |
•Ï“® |
•ªŽU |
ŠÏ‘ª‚³‚ꂽ•ªŽU”ä |
—LˆÓ F |
|
‰ñ‹A |
1 |
3347.328 |
3347.328 |
17.21907 |
0.003211 |
|
Žc· |
8 |
1555.172 |
194.3966 |
|
|
|
‡Œv |
9 |
4902.5 |
|
|
|
‡@‰¼à‚ð‚½‚Ä‚é
‹A–³‰¼à@H0:‰ñ‹A’¼ü‚Í—\‘ª‚É–ð—§‚½‚È‚¢((VRàVE)
‘Η§‰¼à@H1:‰ñ‹A’¼ü‚Í—\‘ª‚É–ð—§‚Â(VR>VE)
‡AŒŸ’蓌v—Ê(F)‚𒲂ׂé
![]()
‡B—Lˆ×…€5%‚ʼnE•Б¤ŒŸ’è‚ðŽÀŽ{

Ž©—R“x1,8‚Ì㑤0.05%‚ÍŠÖ”‚ðŽg—p‚µ‚ÄA=FINV(0.05,1,8)=5.317645‚ÆŒvŽZ‚³‚ê‚éB
ŠÏ‘ª‚³‚ꂽF’l‚ÍAF1,8(0.05)=5.317645‚æ‚è‚à‘å‚«‚¢B‚Ü‚½ŒÂ‚ÌŽž‚ÌŠm—¦:0.003211‚Å‚ ‚èA‚±‚Ì’l‚Í0.05‚æ‚è‚ଂ³‚¢B‚æ‚Á‚ÄŠü‹pˆæ‚É“ü‚éB‹A–³‰¼à‚ðŠü‹p‚·‚éB‰ñ‹AŽ®‚Í—\‘ª‚ɖ𗧂‚Ƃ¢‚¦‚éB
(2-2-2)@Œˆ’èŒW”‚ðŽg—p‚·‚é•û–@
Œˆ’èŒW”iR2)‚ðŽg—p‚µ‚ÄA‰ñ‹AŽ®‚ÌŒŸ’è‚ðŽÀŽ{‚·‚éBŒˆ’èŒW”‚ðŒ©‚é‚ÆA‘S•Ï“®‚ɑ΂·‚é‰ñ‹A•Ï“®‚ÌŠ„‡‚ª•ª‚©‚é‚Ì‚ÅA‚±‚Ì’l‚ª‘å‚«‚¢‚قljñ‹AŽ®‚ÌM—Š«‚Í‚‚¢‚Æ‚¢‚¦‚éB‘S•Ï“®‚Éè‚ß‚é‰ñ‹A•Ï“®‚ªR2%‚ ‚邯‚¢‚¦‚éB

(2-3)@•Ήñ‹AŒW”‚ÆYؕЂÌM—Š«‚ðŒŸ’è
‰ñ‹Aޮީ‘͕̂ªŽU•ªÍ‚ÌŒ‹‰ÊM—Š«‚ª‚ ‚邯”»–¾‚µ‚½B’P‰ñ‹AŽ®‚ÍAY=b1x+b0‚Å•\‚³‚ê‚éB‚±‚ÌŽžb1‚ð•Ήñ‹AŒW”‚ƌĂÑAb0‚ðYؕЂƂ¢‚¤B‚±‚̕Ήñ‹AŒW”‚ÆYؕЂªM—Ђł«‚é‚©ŒŸ’è‚ðs‚¤B
‡@•W€Œë·(SE:Standard Error)
•W€Œë·(SE)‚Æ‚ÍA„’è’l‚Ì•W€•η(SD)‚ð‚¢‚¤B
à–¾•Ï—Ê(X)¥ŽÀ‘ª’l(y)¥—\‘ª’l(Y)¥Žc·(ƒÃ)¥Žc·•½•û(ƒÃ2)‚ÌŠÖŒW‚ð•\‚É‚·‚éB


|
|
ŒW” |
•W€Œë· |
t |
P-’l |
‰ºŒÀ 95% |
ãŒÀ 95% |
‰ºŒÀ 95.0% |
ãŒÀ 95.0% |
|
ؕР|
15.17241 |
9.802094 |
1.547875 |
0.160242 |
-7.43127 |
37.7761 |
-7.43127 |
37.7761 |
|
‘Œê |
0.741379 |
0.178663 |
4.149587 |
0.003211 |
0.32938 |
1.153378 |
0.32938 |
1.153378 |
à–¾•Ï—Ê(‘Œê)‚Ì•W€Œë·‚ÍAã‚ÌŒvŽZŽ®‚©‚ç0.178663B‚Ü‚½YؕЂ̕W€Œë·F9.802094‚ÆŒvŽZ‚³‚ê‹‚ß‚ç‚ê‚Ä‚¢‚éB
(2-3-1)@•Ήñ‹AŒW”(b1)‚ÌM—Š«‚ðŒŸ’è‚·‚éB
‡@‰¼à‚ð‚½‚Ä‚é
‹A–³‰¼à@@H0:ƒÀ10@(à–¾•Ï—ÊX‚Ì•ê‰ñ‹AŒW”‚Í0‚Å‚ ‚éj
‘Η§‰¼à@@H1:ƒÀ1‚0@(à–¾•Ï—ÊX‚Ì•ê‰ñ‹AŒW”‚Í0‚ł͂Ȃ¢j
‡AŒŸ’蓌v—Ê(T)‚ð‹‚ß‚é
![]()
‡B—Lˆ×…€5%‚Å—¼‘¤ŒŸ’è‚ðŽÀŽ{

Ž©—R“x8‚Ìt•ª•z㑤0.025““_‚Í=tinv(0.05,8)=2.306006‚Å‚ ‚éBŠÏ‘ª‚³‚ꂽt’l:4.149587‚Í‚±‚Ì’l‚æ‚è‚à‘å‚«‚¢B‚Ü‚½‚±‚ÌŽž‚ÌŠm—¦:0.003211‚Å‚ ‚è0.05‚æ‚è‚ଂ³‚¢B‚æ‚Á‚ÄŠü‹pˆæ‚É“ü‚éB‹A–³‰¼à‚ðŠü‹p‚·‚éB•Ήñ‹AŒW”(b1)‚Í—\‘ª‚ɖ𗧂‚Ƃ¢‚¦‚éB
(2-3-2)@YØ•Ð(B0)‚ÌM—Š«‚ðŒŸ’è‚·‚éB
‡@‰¼à‚ð‚½‚Ä‚é
‹A–³‰¼à@@H0:ƒÀ00@
‘Η§‰¼à@@H1:ƒÀ0‚0@
‡AŒŸ’蓌v—Ê(T)‚ð‹‚ß‚é

‡B—Lˆ×…€5%‚Å—¼‘¤ŒŸ’è‚ðŽÀŽ{
Ž©—R“x8‚Ìt•ª•z㑤0.025““_‚Í=tinv(0.05,8)=2.306006‚Å‚ ‚éBŠÏ‘ª‚³‚ꂽt’l:1.547875‚Í‚±‚Ì’l‚æ‚è‚ଂ³‚¢B‚Ü‚½‚±‚ÌŽž‚ÌŠm—¦:0.160242‚Å‚ ‚è0.05‚æ‚è‚à‘å‚«‚¢B‚æ‚Á‚ÄŠü‹pˆæ‚É“ü‚ç‚È‚¢B‹A–³‰¼à‚ðŠü‹p‚·‚邱‚Ƃ͂ł«‚È‚¢BYØ•Ð(b0)‚Í—\‘ª‚É–ð—§‚½‚È‚¢‚Æ‚¢‚¤‹A–³‰¼à‚ðŠü‹p‚Å‚«‚È‚¢B
ˆÈã‚©‚çA‰ñ‹A’¼üŽ©‘̂͗\‘ª‚ɖ𗧂‚Ƃ¢‚¦‚éB‚Ü‚½•Ήñ‹AŒW”(b1)‚Í—\‘ª‚ɖ𗧂‚ªAYØ•Ð(b0)‚Í—\‘ª‚ɖ𗧂‚Ƃ͂¢‚¦‚È‚¢B
(2-4)@‰ñ‹AŽ®‚ðŽg—p‚µ‚½—\‘ª’l
‰ñ‹A•ªÍ‚É‚æ‚è‹‚ß‚ç‚ꂽ’P‰ñ‹A—\‘ªŽ®‚ÍAY=0.741379x+15.17241‚Å‚ ‚éB‚±‚ÌŽ®‚ð—p‚¢‚ÄA‘Œê‚Ì“_”‚©‚甊w‚Ì“_”‚ð—\‘ª‚·‚éB
x:‘Œê‚Ì“_”‚Å‚ ‚é‚©‚çA‡ŽŸ‚±‚Ì‘Œê‚Ì’l‚ð“ü‚ê‚Ä”Šw‚Ì“_”Y‚ðŒvŽZ‚µ‚Ä‹‚ß‚éB‚È‚¨A•ªÍƒc[ƒ‹‚Å‚ÍA‚±‚Ì—\‘ª’l‚àŒvŽZ‚³‚ê‚Ä•\ަ‚³‚ê‚Ä‚¢‚éB

(2-5)@Žc·‚𒲂ׂé
Žc·(ƒÃ)‚ÍAŽÀ‘ª’l(y)‚Æ—\‘ª’l(Y)‚Ì·‚Å‚ ‚éBƒÃi=yi-Yi
‚±‚ÌŽc·‚ð•W€‰»‚·‚邯AŒ³‚̃f[ƒ^‚̑傫‚³‚â’PˆÊ‚ð‹C‚É‚¹‚¸‚ÉÏ‚ÞB•W€‰»‚³‚ꂽŽc·‚ÍA•W–{‚ÉŠî‚ÂŽc·‚Ì•W€•η‚ð‹‚ßAŠeŽc·‚ð‚»‚Ì•W€•η‚ÅŠ„‚éB
@‚±‚Ì•W€Žc·‚Ì’l‚ª}3.0‚ð‰z‚¦‚Ä‚¢‚ê‚Îu‚Í‚¸‚ê’lv‚̉”\«‚ª‚ ‚éB

(2-6)@’P‰ñ‹AŽ®‚ðŽg—p‚µ‚ÄA–¢’m‚Ì’l‚ð—\‘ª‚·‚éB
à–¾•Ï—Ê(‘Œê)‚Ì’l‚͂킩‚Á‚Ä‚¢‚邪A–Ú“I•Ï—Ê(”Šw)‚Ì“_”‚ª•s–¾‚ÈŽžA‹‚ß‚½’P‰ñ‹AŽ®‚ðŽg—p‚µ‚ÄA’l‚ð—\‘ª‚·‚éB‚±‚̂悤‚É‹‚ß‚½’P‰ñ‹AŽ®‚ðŽg—p‚µ‚Ä–¢’m‚Ì’l‚ð—\‘ª‚·‚鎞‚ÍAŽg—p‚µ‚½à–¾•ϗʂ͈͓̔à‚Å—\‘ª‚·‚鎖‚ª–]‚Ü‚µ‚¢BŽg—p‚µ‚½à–¾•Ï—Ê‚©‚ç‘å‚«‚ŠO‚ꂽ”͈͂ŗ\‘ª‚·‚邯AŒë·‚ª‘å‚«‚‚È‚èŽÀ—p‚É“K‚³‚È‚‚È‚éB
à–¾•ϗʂł ‚鑌ê‚Ì“_”‚Í10ˆÈã90ˆÈ‰º‚Å‚ ‚éB‚»‚±‚Å‚±‚͈͓̔à‚ł̑Œê‚Ì“_”‚ðŽg—p‚悤‚É‚·‚éB‚¢‚Ü‘Œê‚ÌŽŽŒ±‚¾‚¯Žó‚¯‚½‚à‚Ì‚ª3–¼‚¢‚½‚Æ‚·‚éB‚»‚Ì“_”‚ÍA25A68A72A80“_‚Å‚ ‚Á‚½B‚±‚Ì4–¼‚Ì”Šw‚Ì“_”‚͉½“_‚Æ—\‘z‚³‚ê‚é‚©B’P‰ñ‹AŽ®‚ðŽg—p‚µ‚Ä—\‘ª‚·‚éB
‹‚ß‚½’P‰ñ‹AŽ®:Y=0.741379x+15.17241@x‚Ì•”•ª‚Í‘Œê‚Ì“_”‚Å‚ ‚é‚©‚çA‚±‚±‚É‘Œê‚Ì“_”‚ð‚¢‚ê‚Ä‡ŽŸ’l‚ðŒvŽZ‚·‚éB
‰º‚Ì•\‚̂悤‚É—\‘ª’l‚𓾂邱‚Æ‚ª‚Å‚«‚éB
|
|
‘Œê |
“ü—Í‚µ‚½Ž® |
ŒvŽZŒ‹‰Ê |
|
11 |
25 |
=0.74137931*B15+15.17241379 |
33.7068966 |
|
12 |
68 |
=0.74137931*B16+15.17241379 |
65.5862069 |
|
13 |
72 |
=0.74137931*B17+15.17241379 |
68.5517241 |
|
14 |
80 |
=0.74137931*B18+15.17241379 |
74.4827586 |
15.3.3@‰ñ‹A‚ÉŠÖ‚·‚éŠÖ”
•ªÍƒc[ƒ‹‚ðŽg—p‚µ‚È‚‚Ä‚àA‰ñ‹A‚ÉŠÖ‚·‚éŠÖ”‚ðŽg—p‚·‚ê‚Ήñ‹A’¼ü‚Æ—\‘ª’l‚ð‹‚߂邱‚Æ‚ª‚Å‚«‚éB
(1)’P‰ñ‹A’¼ü‚ÉŠÖ‚·‚éŠÖ”
‡@’P‰ñ‹A’¼ü‚ÌŒX‚«‚ð‹‚ß‚éŠÖ”(•Ï—ÊX‚ÌŒW”€j
@@@=slope(–Ú“I•ϗʂ͈̔Í,à–¾•ϗʂ͈̔Í)
‡A’P‰ñ‹A’¼ü‚ÌYؕЂð‹‚ß‚éŠÖ”
@@@=intercept(–Ú“I•ϗʂ͈̔Í,à–¾•ϗʂ͈̔Í)
‡Bˆê“x‚É’P‰ñ‹A’¼ü‚ÌŒX‚«‚ÆYؕЂð‹‚ß‚éŠÖ”
@@@=linest(–Ú“I•ϗʂ͈̔Í,à–¾•ϗʂ͈̔Í,[’è”],[•â³])
’蔂͎w’肵‚È‚‚Ä‚à‚æ‚¢B•ⳂÍtrue,false‚Ì‚¢‚¸‚ê‚©‚ðŽw’èAÈ—ª‚·‚邯false‚Ƃ݂Ȃ³‚ê‚éBtrue‚ðŽw’è‚·‚邯A‰ñ‹A‚ÉŠÖ‚·‚镪Íî•ñ‚ª•\ަ‚³‚ê‚邽‚¾‚µlinestŠÖ”‚Å‚ÍA”z—ñ”Ž®‚ð쬂µ‚È‚¯‚ê‚Ε\ަ‚³‚ê‚È‚¢BB
(2)‘ŠŠÖŒW”‚ÉŠÖ‚·‚éŠÖ”
‡@2•Ï—ÊŠÔ‚Ì‘ŠŠÖŒW”‚ð‹‚ß‚éŠÖ”
@@@=correl(•Ï—Ê1”͈Í,•Ï—Ê2”͈Í)
‡AŒˆ’èŒW”iR2)‚ð‹‚ß‚éŠÖ”
@@@=rsq(–Ú“I•ϗʂ͈̔Í,à–¾•ϗʂ͈̔Í)
(3)’P‰ñ‹AŽ®‚ðŽg—p‚µ‚Ä—\‘ª’l‚ð‹‚ß‚éŠÖ”
‡@—\‘ª’l‚ð‹‚ß‚éŠÖ”
@@@=trend(–Ú“I•ϗʂ͈̔Í,à–¾•ϗʂ͈̔Í,’è”)
@@@=forecast(’è”,–Ú“I•ϗʂ͈̔Í,à–¾•ϗʂ͈̔Í)
(2)ŠÖ”‚ðŽg—p‚µ‚ÄA’P‰ñ‹AŽ®‚ð‹‚ß‚éB
’P‰ñ‹AŽ®‚ÍAY=b1x+b0
–Ú“I•Ï—Ê(”Šw‚Ì“_”)‚͈̔Í:C3:C12Aà–¾•Ï—Ê(‘Œê‚Ì“_”)”͈Í:B3:B12‚Å‚ ‚éB
ŒX‚«:=slope(–Ú“I•ϗʔ͈Í,à–¾•ϗʔ͈Í)‚©‚ç0.74137931‚Æ‹‚ß‚ç‚ê‚éB
YØ•Ð:=intercept(–Ú“I•ϗʔ͈Í,à–¾•ϗʔ͈Í)‚©‚ç15.1724438‚Æ‹‚ß‚ç‚ê‚éB
‚æ‚Á‚ÄA’P‰ñ‹AŽ®‚ÍAY=0.74137931X+15.1724438‚Æ‹‚ß‚ç‚ê‚éB
d‘ŠŠÖŒW”:=rsq(–Ú“I•ϗʔ͈Í,à–¾•ϗʔ͈Í)‚æ‚è0.68277972
‘ŠŠÖŒW”‚Í2•Ï—ÊX¥Y‚Ì‘ŠŠÖ‚Å‚ ‚é‚©‚ç=correl(•Ï—Ê1”͈Í,•Ï—Ê2”͈Í)‚æ‚è0.82630486

(3)à–¾•Ï—Ê(‘Œê‚Ì“_”)‚ª25“_‚ÌŽž‚Ì–Ú“I•Ï—Ê(”Šw‚Ì“_”)‚ðŠÖ”‚Å‹‚ß‚éB
‘Œê‚Ì“_”)(25)ƒZƒ‹:B15@
=trend(–Ú“I•ϗʔ͈Í,à–¾•ϗʔ͈Í,‘Œê‚Ì“_”)‚æ‚蔊w‚Ì“_”‚Í33.7068966“_‚Æ—\‘ª
=forecast(‘Œê‚Ì“_”,–Ú“I•ϗʔ͈Í,à–¾•ϗʔ͈Í)‚æ‚蔊w‚Ì“_”‚Í33.7068966“_‚Æ—\‘ª

(3)’P‰ñ‹A’¼ü‚ÌŒX‚«‚ÆYؕЂðˆê“x‚Ì‹‚ß‚éŠÖ”‚ÌŽg—p
ŒvŽZŒ‹‰Ê‚Æ‚µ‚ÄAuŒX‚«v‚ÆuYØ•Ðv‚Ì2‚‚̒l‚ª—~‚µ‚¢B‚»‚Ì‘¼‚Ì•ªÍŒ‹‰Ê‚à•\ަ‚³‚¹‚éB
‡@=linest(–Ú“I•ϗʔ͈Í,à–¾•ϗʔ͈Í,,true)‚ł܂¸’¼ü‚ÌŒX‚«‚ð‹‚ß‚éB
@@@¦true‚ðÈ—ª‚·‚邯AŠe•ϗʂ̌W”‚ÆYؕВl‚¾‚¯‚Ì•\ަ‚ƂȂéB

‡A”z—ñ”Ž®‚ð쬂·‚éB
‹‚ß‚½‚¢•Ï”‚Í2‚ÂA‚¢‚Ü1‚‚߂̌X‚«‚ª‹‚ß‚ç‚ê‚Ä‚¢‚é‚Ì‚ÅA‘¼‚Ì1‚‚ð”z—ñ”Ž®‚Å•\ަ‚³‚¹‚éB
ŠÖ”‚ð“ü—Í‚µ‚½ˆÊ’u‚©‚ç‰E‘¤‚É1ƒZƒ‹•ªƒhƒ‰ƒbƒO‚µAX‚ɉº•ûŒü‚É5s•ª”͈͎w’è‚·‚é(‹‚ß‚½‚¢”’l‚ª2‚‚ ‚é)¨”Ž®ƒo[‚ðƒNƒŠƒbƒN‚µ‚ăAƒNƒeƒBƒu‚É‚·‚é¨CTRLƒL[+SHIFTƒL[+ENTERƒL[‚ð‰Ÿ‚·‚ÆA2”Ô–Ú‚É”’l:YؕЂ₻‚Ì‘¼‚Ì•ªÍŒ‹‰Ê‚ª•\ަ‚³‚ê‚éB
![]()

‡BlinestŠÖ”‚ÌŒvŽZŒ‹‰Ê‚ðŠm”F
linestŠÖ”‚ðŽg—p‚µA”z—ñ”Ž®‚É‚·‚邯‰º‚̂悤‚ÈŒvŽZŒ‹‰Ê‚ª•\ަ‚³‚ê‚éB
|
|
YؕР|
|
X1‚Ì•W€Œë· |
YؕЂ̕W€Œë· |
|
Œˆ’èŒW” |
•W€Œë· |
|
•ªŽU”ä |
Ž©—R“x |
|
‰ñ‹A‚Ì•½•û˜a |
Žc·‚Ì•½•û˜a |
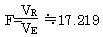
‚±‚ê‚©‚çAŒX‚«:0.741379@YØ•Ð:15.1724138@
‚æ‚Á‚Ä’P‰ñ‹AŽ®:Y=0.741379X+15.1724438‚Æ‹‚ß‚ç‚ê‚éB
‚Ü‚½‚±‚Ì’P‰ñ‹AŽ®‚ÌM—Š«‚Í•ªŽU”ä(F):17.21907@Ž©—R“x1A8‚ÌF•ª•z‚𒲂ׂê‚΂悢Bi’P‰ñ‹A‚Å‚Í1”Ô–Ú‚ÌŽ©—R“x‚Í1)
‰ñ‹A‚Ì•½•û˜a‚Í3347.328@Ž©—R“x:1@Žc·‚Ì•½•û˜a:1555.17241@Ž©—R“x:8
VR=3347.328@VE=1555.17241€8=194.39655@
@‚Æ‹‚ß‚ç‚ê‚éB
=finv(0.05,1,8)=5.317645‚©‚玩—R“x1,8‚Ì㑤0.05Šm—¦‚ÌF’l‚ð”äŠr‚·‚ê‚΂悢B
ŒŸ’蓌v—Ê(F)=17.219„F1,8(0.05)=5.317645@‚Å‚ ‚é‚©‚ç@VRàVE‚Æ‚¢‚¤‹A–³‰¼à‚ðŠü‹p‚Å‚«‚éB
16.@d‰ñ‹A•ªÍ
’P‰ñ‹A•ªÍ‚Å‚ÍA–Ú“I•Ï—Ê‚Í1‚Âà–¾•Ï—Ê‚à1‚‚ł ‚Á‚½B–Ú“I•Ï—Ê‚Íí‚É1‚Â(—\‘ª‚·‚é’l‚Í1‚Â)‚Å‚ ‚邪Aà–¾•Ï—Ê‚ª2‚ˆÈã‚ÌŽž‚ðd‰ñ‹A•ªÍ‚Æ‚¢‚¤B’P‰ñ‹A‚É”ä‚׸“x‚Íオ‚邪AŽÀ–±ã‚Å‚ÍA–³‘ʂȕϗʂðŽg‚Á‚Ä‚¢‚È‚¢‚©ŒŸ’è‚·‚é•K—v‚ª‚ ‚èA–³‘ʂȕϗʂðŽg‚킸(•Ï—Ê‘I‘ð–@)Å—Ç‚Ìd‰ñ‹AŽ®‚𓾂é•K—v‚ª‚ ‚éB
16.1@d‰ñ‹AŽ®‚ð‹‚ß‚é
ˆê”Ê‚Éà–¾•Ï—Ê‚ªpŒÂ‚ ‚鎞‚Ìd‰ñ‹Aƒ‚ƒfƒ‹‚Í@yi=ƒÀ1¥x1i+ƒÀ2¥x2i+c+ƒÀp¥xpi+ƒÀ0+ƒÃi@(i=1,2A@cn)‚Å•\‚³‚ê‚éB‚±‚ÌŽž’P‰ñ‹AŽ®‚𓯗l‚É
Žc·(ƒÃ)‚ɂ‚¢‚Ä
‡@ƒÃi‚ƃÃj‚Í‚¨ŒÝ‚¢‚ɓƗ§‚Å‚ ‚èA³‹K•ª•zN(0,ƒÂ2)‚É]‚¤B
‡AƒÃi‚ÌŠú‘Ò’l(•½‹Ï’l)‚Í0‚Å‚ ‚èA‚Ü‚½•ªŽU‚͈ê’è‚Å‚ ‚éB
‚̉¼’艺‚ÅAd‰ñ‹AŽ®‚ðYi=b1¥x1i+b2¥x2i+c+bp¥xpi+b0‚Æ‚·‚邯Ab0,,b1cbp‚̓À0,ƒÀ1cƒÀp‚Ì„’è—ʂł ‚éB
b0,,b1cbp‚ð•Ήñ‹AŒW”‚ƌĂÑAƒÀ0,ƒÀ1cƒÀp‚ð•ê•Ήñ‹AŒW”‚Æ‚¢‚¤B’P‰ñ‹AŽ®‚Æ“¯—l‚ÉŽc·•½•û˜aƒ°(ƒÃi)2‚ðŬ‚É‚·‚邿‚¤‚ÈAb0,,b1cbp‚ð‹‚ß‚ê‚΂悢B

16.2@d‰ñ‹A•ªÍ‚ðŽÀŽ{
16.2.1@•ªÍƒc[ƒ‹‚ðŽg—p‚µ‚Äd‰ñ‹A•ªÍŽÀŽ{
@‚ ‚éƒX[ƒp[‚ÅAŽx“X8“X•܂ɂ‚¢‚Ä”„‚èê‚Ì\¬“xE“Xˆõ‚Ì‹³ˆç“xE¤•i‚Ì]Ž–“x‚Æ“X•Ü1‡u‚ ‚½‚è‚Ì”„ã‚𒲸‚µ‚½‚Æ‚±‚ëA‰º‚̂悤‚ÈŒ‹‰Ê‚ª“¾‚ç‚ꂽB”„ã‚ð–Ú“I•ϗʂƂµA”„‚èê\¬“xE“Xˆõ‹³ˆç“xE¤•i[ŽÀ“x‚ðà–¾•ϗʂƂµ‚Äd‰ñ‹A•ªÍ‚ðŽÀŽ{‚·‚éB
”„‚èê\¬“x:7@“Xˆõ‹³ˆç“x:5@¤•i[ŽÀ“x:5@‚Ì“X•Ü‚ðV‹K‚ÉŠJ“X‚·‚邯‚·‚邯”„‚èã‚°‚Í1‡u‚ ‚½‚è‚¢‚‚ç‚Æ—\‘ª‚³‚ê‚é‚©B
(1)•ªÍ‚·‚éƒf[ƒ^‚ð“ü—Í‚·‚éB

¦à–¾•Ï—Ê‚ð“ü—Í‚·‚鎞‚ÍAs‚Ü‚½‚Í—ñ•ûŒü‚ɘA‘±‚µ‚½”͈͂ɓü—Í‚·‚éB
(2)ƒc[ƒ‹¨•ªÍƒc[ƒ‹‰ñ‹A‚ð‘I‘ð‚·‚éB
“ü—͔͈Í(Y)‚Í–Ú“I•ϗʂ͈̔͂ł ‚éB“ü—͔͈Í(X)‚Íà–¾•ϗʂ͈̔͂ł ‚éB‚±‚±‚Å‚Íà–¾•Ï—Ê‚ª3—ñ˜A‘±‚µ‚Ä‚ ‚é‚Ì‚ÅAà–¾•Ï—Ê‚Ì”ÍˆÍ‚ð‚·‚×‚Ä‘ƒŽw’è‚·‚éB‚È‚¨A擪s‚Ì•¶Žš‚ðƒ‰ƒxƒ‹‚Æ‚µ‚ÄŽw’è‚·‚Ì‚ÅAƒ‰ƒxƒ‹‚ðƒNƒŠƒbƒN‚µ‚Ä‘I‘ð‚µ‚µ‚Ä‚¨‚BŽc·E•W€‰»‚³‚ꂽŽc·‚Ì—–‚àƒNƒŠƒbƒN‚µ‚ă`ƒFƒbƒN‚µ‚Ä‚¨‚B‘S‚Ä‚Ìݒ肪I—¹‚µ‚½‚çAOKƒ{ƒ^ƒ“‚ðƒNƒŠƒbƒN‚µ‚Ä•ªÍ‚ðŠJŽn‚·‚éB
(3)•ªÍŒ‹‰Ê‚ðŒŸ“¢
(3-1)d‘ŠŠÖŒW”ŠÖŒW
|
‰ñ‹A“Œv |
|
|
d‘ŠŠÖ R |
0.98651286 |
|
dŒˆ’è R2 |
0.97320763 |
|
•â³ R2 |
0.95311334 |
|
•W€Œë· |
0.86613306 |
|
ŠÏ‘ª” |
8 |
d‘ŠŠÖŒW”(R):0.98651286c–Ú“I•ϗʂƉñ‹AŽ®‚æ‚è‹‚ß‚½—\‘ª’l‚Ì‘ŠŠÖ‚Í‚©‚Ȃ肂¢‚±‚Æ‚ª‚í‚©‚éB
dŒˆ’èŒW”(R2):0.97320763c‰ñ‹A•Ï“®‚̔䗦‚ª‚©‚Ȃ肂Ad‰ñ‹AŽ®‚ÍM—Š«‚ª‚ ‚邯Žv‚í‚ê‚éB
(3-2)‹‚ß‚½d‰ñ‹AŽ®‚ÌM—Š«‚𕪎U•ªÍ•\‚ÅŠm”F
|
•ªŽU•ªÍ•\ |
|
|
|
|
|
|
|
Ž©—R“x |
•Ï“® |
•ªŽU |
ŠÏ‘ª‚³‚ꂽ•ªŽU”ä |
—LˆÓ F |
|
‰ñ‹A |
3 |
108.9993 |
36.33308 |
48.43207 |
0.001334 |
|
Žc· |
4 |
3.000746 |
0.750186 |
|
|
|
‡Œv |
7 |
112 |
|
|
|
ŠÏ‘ª‚³‚ꂽ•ªŽU”ä(F)‚ÍŽ©—R“x3,4‚ÌF•ª•z‚É]‚¤B‚¢‚Ü•ªŽU”ä(F):48.43207‚Å‚ ‚èA‚»‚ÌŠm—¦’l:0.001334‚Å‚ ‚éB
ŒŸ’è‚ðŽÀŽ{
‡@‰¼à‚ð‚½‚Ä‚é
‹A–³‰¼à@‰ñ‹A’¼ü‚Í—\‘ª‚É–ð—§‚½‚È‚¢(VRàVE)
‘Η§‰¼à@‰ñ‹A’¼ü‚Í—\‘ª‚É–ð—§‚Â@@(VR„VE)
‡AŒŸ’蓌v—Ê‚ð‹‚ß‚é
@@@ŒŸ’蓌v—Ê(F)=48.43207‚ÍAŽ©—R“x3,4‚ÌF•ª•z‚É]‚¤B
‡B—Lˆ×Šm—¦5%‚Åã•Б¤ŒŸ’è‚ðŽÀŽ{

‚È‚¨AF3,4(0.05)‚ð’²‚×‚é‚ÆA6.591392‚Å‚ ‚éB=fdist(0.052,3,4)‚Å‹‚ß‚ç‚ê‚éB
ŠÏ‘ª’l(F):48.43207„F3,4(0.05):6.591392‚Å‚ ‚èA‚±‚ÌŽž‚ÌŠm—¦’l:0.001334‚Í0.05‚æ‚è‚ଂ³‚¢B‚æ‚Á‚ÄŠü‹pˆæ‚É“ü‚éB‹A–³‰¼à‚ðŠü‹p‚·‚éB‰ñ‹AŽ®‚Í—\‘ª‚ɖ𗧂‚Ƃ¢‚¦‚éB
(3-3)•Ήñ‹AŽ®‚ÌM—Š«‚ðŠm”F
|
|
ŒW” |
•W€Œë· |
t |
P-’l |
‰ºŒÀ 95% |
ãŒÀ 95% |
‰ºŒÀ 95.0% |
ãŒÀ 95.0% |
|
ؕР|
-1.3788229 |
1.279866 |
-1.07732 |
0.341975 |
-4.93231 |
2.174662 |
-4.93231 |
2.174662 |
|
”„‚èê |
0.11984513 |
0.242232 |
0.494754 |
0.646716 |
-0.5527 |
0.792389 |
-0.5527 |
0.792389 |
|
“Xˆõ |
1.06212482 |
0.289351 |
3.670711 |
0.021378 |
0.258755 |
1.865494 |
0.258755 |
1.865494 |
|
¤•i |
1.54583881 |
0.197781 |
7.815898 |
0.001446 |
0.996709 |
2.094969 |
0.996709 |
2.094969 |
Še•Ήñ‹AŒW”‚æYؕВl‚ÍX1:0.11984513@X2:1.06212482@X3:1.54583881@YØ•Ð:-1.3788229
‚æ‚Á‚Ä‹‚ß‚ç‚ꂽd‰ñ‹AŽ®‚ÍY=0.11984513X1+1.06212482X2+1.54583881X3-1.3788229
ŽŸ‚ÉŠeà–¾•Ï—Ê‚ÌM—Š«‚ðŒŸ“¢‚·‚éB
‡@”„‚èê(X1•Ï—Ê)
t’l:0.494754@‚±‚ÌŽž‚ÌŠm—¦:0.646716D‚±‚ê‚Íu‹A–³‰¼à:à–¾•Ï—ÊX1‚Í—\‘ª‚É–ð—§‚½‚È‚¢v‚ðŠü‹p‚Å‚«‚È‚¢B‚æ‚Á‚ĕϗÊX1‚Æ—\‘ª‚ɖ𗧂‚Ƃ͂¢‚¦‚È‚¢B
‡A“Xˆõ(X2•Ï—Ê)
t’l:3.670711@‚±‚ÌŽž‚ÌŠm—¦:0.021378‚±‚ê‚Íu‹A–³‰¼à:à–¾•Ï—ÊX2‚Í—\‘ª‚É–ð—§‚½‚È‚¢v‚ðŠü‹p‚·‚éB‚æ‚Á‚ĕϗÊX2‚Í—\‘ª‚ɖ𗧂‚Ƃ¢‚¦‚éB
‡B¤•i(X3•Ï—Ê)
t’l:7.815898@‚±‚ÌŽž‚ÌŠm—¦:0.001446‚±‚ê‚Íu‹A–³‰¼à:à–¾•Ï—ÊX3‚Í—\‘ª‚É–ð—§‚½‚È‚¢v‚ðŠü‹p‚·‚éB‚æ‚Á‚ĕϗÊX3‚Í—\‘ª‚ɖ𗧂‚Ƃ¢‚¦‚éB
‡CYØ•Ð
t’l:-1.07732@‚±‚ÌŽž‚ÌŠm—¦:0.341975‚±‚ê‚Íu‹A–³‰¼à:YؕЂ͗\‘ª‚É–ð—§‚½‚È‚¢v‚ðŠü‹p‚Å‚«‚È‚¢B‚æ‚Á‚ÄYؕЂ͗\‘ª‚ɖ𗧂‚Ƃ͂¢‚¦‚È‚¢B
ˆÈã‚©‚ç‹‚ß‚ç‚ꂽd‰ñ‹AŽ®‚Í—\‘ª‚ɖ𗧂‚Ƃ¢‚¦‚邪A•Ï—ÊX1(”„‚èê‚Ì\¬“x)‚ÆYؕЂ͗\‘ª‚ɖ𗧂‚Ƃ͂¢‚¦‚È‚¢B
(3-4)—\‘ª’l‚ÆŽc·‚ðŒŸ“¢
•ªÍ‚·‚éƒf[ƒ^‚ÆAd‰ñ‹AŽ®‚ðŽg—p‚µ‚½—\‘ª’l‚Ì•\‚ð‡‚킹‚Ä‚Ý‚é‚Æ‰º‚̂悤‚È•\‚ɂȂéB
ŽÀ”„ãƒf[ƒ^‚ÆA‰ñ‹AŽ®‚©‚瓾‚ç‚ꂽƒf[ƒ^‚Ì·‚ªŽc·‚Å‚ ‚èAŽc·‚àŒvŽZ‚³‚ê‚Ä•\ަ‚³‚ê‚Ä‚¢‚éB
|
|
‚˜‚P |
‚˜‚Q |
‚˜‚R |
‚™ |
|
||
|
NO |
”„‚èê |
“Xˆõ |
¤•i |
”„ã‚° |
—\‘ª’l: ”„ã‚° |
Žc· |
•W€Žc· |
|
1 |
2 |
6 |
8 |
18 |
17.6003268 |
0.3996732 |
0.6104350 |
|
2 |
4 |
4 |
6 |
12 |
12.6240898 |
-0.6240898 |
-0.9531944 |
|
3 |
4 |
2 |
8 |
14 |
13.5915178 |
0.4084822 |
0.6238893 |
|
4 |
2 |
3 |
2 |
6 |
5.1389195 |
0.8610805 |
1.3151587 |
|
5 |
5 |
4 |
6 |
12 |
12.7439349 |
-0.7439349 |
-1.1362381 |
|
6 |
2 |
3 |
4 |
8 |
8.2305971 |
-0.2305971 |
-0.3521991 |
|
7 |
1 |
4 |
5 |
10 |
10.7187156 |
-0.7187156 |
-1.0977197 |
|
8 |
5 |
5 |
7 |
16 |
15.3518986 |
0.6481014 |
0.9898683 |
”„‚èê\¬“x(•Ï—ÊX1):7@“Xˆõ‹³ˆç“x(•Ï—ÊX2):5@¤•i[ŽÀ“x(•Ï—ÊX3):5@‚ÌŽž”„ã‚Í‚¢‚‚ç‚Æ—\‘ª‚³‚ê‚é‚©A‹‚ß‚½d‰ñ‹AŽ®‚ðŽg—p‚µ‚ÄŒvŽZ‚µ‚Ä‹‚ß‚éB
‹‚ß‚ç‚ꂽd‰ñ‹AŽ®:Y=0.11984513X1+1.06212482X2+1.54583881X3-1.3788229
‚±‚ÌŽ®‚ÉX1¥X2¥X3‚̕ϗʂ̔’l‚ð“ü—Í‚·‚邯AY=12.4999à12.5‚Æ‹‚ß‚ç‚ê‚éB
1‡u‚ ‚½‚è12.5‚Ì”„ã‚Æ‚È‚é‚Å‚ ‚낤B
16.2.2@d‰ñ‹A‚ÉŠÖ‚·‚éŠÖ”‚ðŽg—p‚µ‚Äd‰ñ‹A•ªÍ‚ðŽÀŽ{
’P‰ñ‹A•ªÍ‚ÌŽž‚ÍA–Ú“I•ϗʂ͂P‚ÂAà–¾•Ï—Ê‚à1‚‚ł ‚Á‚½B‚µ‚©‚µd‰ñ‹A•ªÍ‚ÌŽž‚ÍA–Ú“I•Ï—Ê‚Í1‚‚ł ‚邪Aà–¾•Ï—Ê‚Í2‚ˆÈã‚Æ‚È‚éBd‰ñ‹AŽ®‚ð‹‚ß‚é‚É‚ÍAŽg—p‚µ‚Ä‚¢‚éà–¾•Ï—Ê‚²‚Ƃ̌W”‚ÆYؕЂª•K—v‚ƂȂéB
(1)Še•ϗʂ̌W”‚ÆYØ•ÐAd‰ñ‹AŽ®‚ÌŒŸ’è‚ðŽÀŽ{‚·‚éŠÖ”FlinestŠÖ”Žg—p
=linestŠÖ”:=linest(–Ú“I•ϗʔ͈Í,à–¾•ϗʔ͈Í,,true)
‡@‚Ü‚¸=linestŠÖ”‚ÅA¤•i(à–¾•Ï—ÊX3)‚ÌŒW”‚ð‹‚ß‚éB

‡A擪‚ª‹‚Ü‚Á‚½‚çA”z—ñŽ®‚ðŽw’è
‚¢‚ÜŽg—p‚µ‚Ä‚¢‚éà–¾•Ï—Ê‚Í3‚ÂA‚æ‚Á‚ÄŒW”‚Íà–¾•Ï—Ê‚ª3‚‚ÆYؕЂª1‚‚̌v4‚‚̌W”‚ª•K—v‚Å‚ ‚é‚©‚çA”z—ñŽw’è‚͉¡•ûŒü‚É4—ñ•ª•K—vB‚Ü‚½c•ûŒü‚É‚ÍAí‚É5s•ª‚͈̔͂ª•K—vB‚æ‚Á‚Ä”z—ñŽw’è‚͈̔͂ÍA‰¡‚Ö4—ñEc‚Ö5s•ªŽw’è‚·‚éBŽŸ‚ɔޮƒo[‚ðƒNƒŠƒbƒN‚µƒAƒNƒeƒBƒu‚É‚µ‚½ŒãACTRLƒL[+SHIFTƒL[+ENTERƒL[‚ð‰Ÿ‚µ‚Ä”z—ñŽ®‚ðŠ®¬‚·‚éB

|
X3ŒW” |
X2ŒW” |
X1ŒW” |
YؕР|
|
1.5458388 |
1.0621248 |
0.11984 |
-1.378822 |
|
|
X2•W€Œë· |
X1•W€Œë· |
X4•W€Œë· |
|
0.1977813 |
0.2893512 |
0.24223 |
1.2798659 |
|
Œˆ’èŒW” |
•W€Œë· |
|
|
|
0.9732076 |
0.8661330 |
#N/A |
#N/A |
|
•ªŽU”ä |
Žc·Ž©—R“x |
|
|
|
48.432070 |
4 |
#N/A |
#N/A |
|
‰ñ‹A•½•û˜a |
Žc·•½•û˜a |
|
|
|
108.99925 |
3.0007459 |
#N/A |
#N/A |
‡CŠÖ”‚Å‹‚ß‚ç‚ꂽŠe’l‚ðA‰ñ‹A•ªÍ—p‚ɉðŽß‚·‚éB
1s–Ú‚É‚ÍAŠeà–¾•ϗʂ̌W”‚ªX3¥X2¥X1¥YؕЂ̇‚É•\ަ‚³‚ê‚éB‚±‚ê‚©‚ç‹‚ß‚éd‰ñ‹AŽ®:Y=0.11984513X1+1.06212482X2+1.54583881X3-1.3788229@‚ª‹‚ß‚ç‚ê‚éB
Œˆ’èŒW”(R2):0.9732076
•ªŽU”ä(F):48.432070@•ªŽU”ä(F)‚ÌŽ©—R“x‚Í2‚‚ ‚èAŒvŽZŒ‹‰Ê‚Í2”Ô–Ú‚ÌŽc·‚ÌŽ©—R“x‚ª•\ަ‚³‚ê‚Ä‚¢‚éB1”Ô–Ú‚ÌŽ©—R“x‚ÍA‰ñ‹A•Ï“®(SR)‚ÌŽ©—R“x‚Å‚ ‚èAà–¾•ϗʂ̌”(p)‚Å‚ ‚éB‚¢‚Ü‚Í3‚ÂŽg—p‚µ‚Ä‚¢‚é‚Ì‚ÅA1”Ô–Ú‚ÌŽ©—R“x‚Í3‚Å‚ ‚éB2”Ô–Ú‚ÌŽ©—R“x‚ÍAŽc·•Ï“®(SE)‚ÌŽ©—R“x‚Å‚ ‚èA•W–{”(n)-à–¾•ϗʌ”(p)-1‚Å‚ ‚éB‚±‚ê‚Í4‚ÆŒvŽZ‚³‚ê‚Ä•\ަ‚³‚ê‚Ä‚¢‚éBˆÈã‚©‚çŠÏ‘ª‚³‚ꂽ•ªŽU”ä(F)‚ÍŽ©—R“x3,4‚ÌF•ª•z‚É]‚¤B‚³‚ç‚ÉŠÖ”‚ðŽg—p‚µ‚ÄF3,4(0.05)‚ð‹‚ß‚ê‚ÎA㑤5%“_‚ÌF’l‚ª‚í‚©‚é‚Ì‚ÅA‚±‚Ì’l‚ÆŠÏ‘ª‚³‚ꂽ•ªŽU”ä(F)‚ð”äŠr‚·‚ê‚΂悢BF3,4(0.05)‚ÍŠÖ”‚Å‚ÍA=finv(0.05,3,4)‚Å‚ ‚èA‚±‚Ì’l‚Í6.591392321‚Æ•\ަ‚³‚ê‚éB‚Ü‚½•ªŽU”ä(F):48.432070@Ž©—R“x3,4‚ÌŠm—¦’l‚ÍA=fdist(48.43207,3,4)‚©‚ç0.001334‚Æ‹‚ß‚ç‚ê‚éBˆÈã‚ð‚܂Ƃ߂Å}•\•\ަ‚·‚邯‰º‚̂悤‚ȃOƒ‰ƒt‚ƂȂéB‚±‚ê‚Í•ªÍƒc[ƒ‹‚Å‹‚ß‚½’l‚Æ“¯‚¶‚ɂȂéB

Šü‹pˆæ‚É“ü‚é‚Ì‚ÅA‰ñ‹A•Ï“®‚ÍŒø‰Ê‚ª‚È‚¢‚ðŠü‹p‚·‚éB‰ñ‹A•Ï“®‚ÍŒø‰Ê‚ª‚ ‚éB‹‚ß‚½‰ñ‹AŽ®‚Í—\‘ª‚ɖ𗧂‚Ƃ¢‚¦‚éB
(2)trendŠÖ”‚Å—\‘ª’l‚ð‹‚ß‚éB
trendŠÖ”‚ðŽg—p‚·‚ê‚ÎAd‰ñ‹AŽ®‚ðŽ©“®“I‚É‹‚ß‚ÄA‚»‚Ìd‰ñ‹AŽ®‚É‚æ‚é—\‘ª’l‚ðŒ‹‰Ê‚Æ‚µ‚Ä•\ަ‚µ‚Ä‚‚ê‚éB
trendŠÖ”:=trend(–Ú“I•ϗʔ͈Í,à–¾•ϗʔ͈Í,’è”)‚Å‚ ‚邪A‚±‚±‚Å–Ú“I•ϗʂ͔͈͎w’èŒãf¥4ƒL[‚ð‰Ÿ‚µ‚ÄAâ‘ÎÀ•W‚É‚·‚éB‚Ü‚½à–¾•ϗʂ͈͎̔w’èŒã“¯—l‚Éf¥4ƒL[‚Åâ‘ÎÀ•\ަ‚·‚éB’蔂͈̔͂ÍAà–¾•Ï—Ê‚ÌX1¥X2¥X3‚Ìæ“ªs‚ðŽw’è‚·‚ê‚΂悢B‚±‚̂悤‚É‚µ‚Ä‚¨‚¯‚ÎA‚»‚̂܂܉º•ûŒü‚ÉŒü‚©‚Á‚ăRƒs[‚·‚邯‚·‚ׂĂ̗\‘ª’l‚ª‚·‚®‚É‹‚ß‚ç‚ê‚éB



”„‚èê\¬“x:7@“Xˆõ‹³ˆç“x:5@¤•i[ŽÀ“x:5@‚ÌŽž‚Ì1‡u‚ ‚½‚è‚Ì”„ã‚ð—\‘ª‚·‚é‚É‚ÍAà–¾•ϗʃf[ƒ^‚̉º‚̋󂢂Ă¢‚és‚Ƀf[ƒ^‚ðX1¥X2¥X3‚̇‚É“ü—Í‚µAã‚ÌŽ®‚𑱂¯‚Ä‚»‚̂܂܉º‚ɃRƒs[‚·‚ê‚΂悢B‹‚ß‚ç‚ꂽŒ‹‰Ê‚Í12.999112‚Å‚ ‚èA•ªÍƒc[ƒ‹‚Å‹‚ß‚½Œ‹‰Ê‚Æ“¯‚¶’l‚𓾂邱‚Æ‚ª‚Å‚«‚éB
16.2.3@d‰ñ‹A•ªÍ‚Ì‘½d‹¤ü«
à–¾•Ï—ÊŠÔ‚Å‚¨ŒÝ‚¢‚É‚‚¢‘ŠŠÖ‚ª‚ ‚èAŽž‚ɂ͕Ήñ‹AŒW”‚ð‹‚߂邱‚Æ‚ª‚Å‚«‚È‚¢‚Æ‚¢‚¤Œ»Û‚ðˆø‚«‹N‚±‚·‚±‚Æ‚ª‚ ‚éB‚±‚ê‚ð‘½d‹¤ü«‚Æ‚¢‚¤Bà–¾•Ï—ÊŠÔ‚Å‚¨ŒÝ‚¢‚É‚‚¢‘ŠŠÖ‚ª‚ ‚邯‚¢‚¤‚±‚Æ‚ÍA‚Ç‚¿‚ç‚à“¯‚¶‚±‚Æ‚ðà–¾‚µ‚Ä‚¢‚é•Ï”‚Ȃ̂ÅA‚Ç‚¿‚ç‚©ˆê•û‚̕ϗʂª‚ ‚ê‚Î[•ª‚Å‚ ‚邯‚¢‚¦‚éBd‰ñ‹AŽ®‚ð‹‚ß‚é‚É‚ ‚½‚èA‘½d‹¤ü«‚ª‚ ‚鎞‚ɂ͂ǂ¿‚ç‚©‚Ìà–¾•ϗʂ𗎂Ƃµ‚Ä‹‚ß‚é•K—v‚ª‚ ‚éB
(1)‘½d‹¤ü«‚Ì—L–³
‘½d‹¤ü«‚ª‚ ‚é‚©‚Ç‚¤‚©‚͉º‚̂悤‚È—vˆö‚𒲂ׂê‚΂悢B
‡@à–¾•Ï—ÊŠÔ‚Ì’P‘ŠŠÖŒW”‚ð‹‚ßA’P‘ŠŠÖŒW”‚ª1‚Ü‚½‚Í|1‚ɋ߂¢‚à‚Ì‚ª‚ ‚ê‚Α½d‹¤ü«‚ª”F‚ß‚ç‚ê‚éB
‡A‘½d‹¤ü«‚ª”F‚ß‚ç‚ê‚鎞‚É‚ÍA•ωñ‹AŒW”‚ð‹‚ß‚ç‚ê‚È‚¢‚Æ‚©A•ωñ‹AŒW”‚Ì•„†‚Æà–¾•Ï—Ê¥–Ú“I•Ï—ÊŠÔ‚Ì’P‘ŠŠÖŒW”‚ªˆê’v‚µ‚È‚¢‚Æ‚¢‚¤Œ»Û‚ð‹N‚±‚·B
(2)‘½d‹¤ü«‚Ì—á
à–¾•Ï—ÊX1`X3‚Æ–Ú“I•Ï—ÊY‚ª‰º‚̂悤‚É‚ ‚邯‚·‚éB
à–¾•Ï—Ê(X1`X3)‚Ì2•Ï—ÊŠÔ‚Ì’Pƒ‚È‘ŠŠÖŒW”‚ðu’P‘ŠŠÖŒW”v‚Æ‚¢‚¤B‚±‚Ì’P‘ŠŠÖŒW”‚ðà–¾•Ï—ÊŠÔ‚Å’²‚ׂéB’P‘ŠŠÖŒW”(X1¥X2):1@’P‘ŠŠÖŒW”(X1¥X3):0.852435@’P‘ŠŠÖŒW”(X2¥X3):0.852435@‚ƂȂÁ‚Ä‚¢‚éB’P‘ŠŠÖŒW”(X1¥X2)‚Í1‚ƂȂÁ‚Ä‚¢‚éB‚±‚Ì‚±‚Æ‚ÍAà–¾•Ï—ÊX1‚Æà–¾•Ï—ÊX2‚Í“¯‚¶Ž–‚ðà–¾‚µ‚Ä‚¢‚é‚Ì‚ÅA‚Ç‚¿‚ç‚©ˆê•û‚̕ϗʂðŽg—p‚·‚ê‚ÎA‘¼•û‚̕ϗʂ͕s—v‚ȕϗʂł ‚éB‚Ç‚¿‚ç‚©‚̕ϗʂ𗎂Ƃµ‚ÄAd‰ñ‹A•ªÍ‚ð‚·‚é•K—v‚ª‚ ‚éB
à–¾•Ï—ÊX2‚Íà–¾•Ï—ÊX1‚Ì0.8”{‚ƂȂÁ‚Ä‚¢‚éB‚±‚ê‚͂܂Á‚½‚“¯‚¶Ž–‚ðà–¾‚µ‚Ä‚¢‚邱‚ƂɂȂéB
¦’P‘ŠŠÖŒW”‚ÍA‚ ‚‚܂łà’Pƒ‚È2•Ï—ÊŠÔ‚Ì‘ŠŠÖŒW”‚Ì‚±‚Ƃł ‚éBd‰ñ‹A•ªÍ‚Å‚ÍAŽg—p‚µ‚Ä‚¢‚éà–¾•ϗʂ̔‚ª2‚ˆÈã‚Æ‚Ȃ邽‚ß‚ÉA‚¨ŒÝ‚¢‚ɉe‹¿‚µ‡‚¤‚Ì‚ÅA’P‘ŠŠÖŒW”‚ª2•Ï—ÊŠÔ‚ÌŠÖŒW‚ð•\‚·‚Ƃ͌À‚ç‚È‚¢B‘½•Ï—Ê‚Å2•ϗʊԂ̳Šm‚ÈŠÖŒW‚ð‹‚ß‚é‚É‚ÍA•Î‘ŠŠÖŒW”‚ð‹‚ß‚é•K—v‚ª‚ ‚éB
16.2.4@•W€•Ήñ‹AŒW”
à–¾•Ï—Ê‚ª‚ǂꂂ炢–Ú“I•ϗʂɉe‹¿‚ð—^‚¦‚Ä‚¢‚é‚©(Šñ—^‚µ‚Ä‚¢‚é‚©)‚𒲂ׂé‚É‚ÍA‹‚ß‚½d‰ñ‹AŽ®‚̕Ήñ‹AŒW”‚ðŒ©‚ê‚΂悢B•Ήñ‹AŒW”‚ª‘å‚«‚¢‚Ù‚Ç–Ú“I•ϗʂɗ^‚¦‚é‰e‹¿‚ª‘å‚«‚¢‚Æ‚¢‚¦‚éB‚µ‚©‚µAà–¾•Ï—ÊŠÔ‚Å’PˆÊ‚ªˆÙ‚Ȃ鎞‚É‚ÍA’PˆÊ‚̉e‹¿‚ðŽó‚¯‚é‚Ì‚ÅA’Pƒ‚ɕΉñ‹AŒW”‚Ì‘å¬‚ðŒˆ‚ß‚é‚±‚Ƃ͂ł«‚È‚¢B’PˆÊ‚̉e‹¿‚ðŽæ‚èœ‚‚É‚ÍAƒf[ƒ^‚ð•W€‰»‚·‚ê‚΂悢Bƒf[ƒ^‚ð•W€‰»‚·‚邱‚Ƃɂæ‚èA•½‹Ï=0@•ªŽU=1‚ƂȂè’PˆÊ‚̉e‹¿‚ðŽó‚¯‚È‚‚È‚é‚Ì‚ÅA•W€‰»‚µ‚½ƒf[ƒ^‚©‚ç•Ήñ‹AŒW”‚ð‹‚߂邿‚¤‚É‚·‚éB‚±‚̂悤‚É•W€‰»‚µ‚½ƒf[ƒ^‚©‚ç‹‚ß‚½•Ήñ‹AŒW”‚ðu•W€•Ήñ‹AŒW”v‚Æ‚¢‚¤B•W€•Ήñ‹AŒW”‚ª‘å‚«‚¢‚Ù‚ÇA–Ú“I•ϗʂɗ^‚¦‚é‰e‹¿‚ª‘å‚«‚AŠñ—^‚̑傫‚¢•ϗʂƂ¢‚¦‚éB

æ‚Ì—á‘è‚̃f[ƒ^‚ð•W€‰»‚·‚邯‰º‚̂悤‚È•\‚ɂȂéB
‚±‚Ì—á‚Å‚ÍAà–¾•ϗʂ̒PˆÊ‚ª“¯‚¶‚Å‚ ‚é‚©‚çA‹‚ß‚ç‚ꂽ•Ήñ‹AŒW”‚ð”äŠr‚·‚邾‚¯‚ł悢‚ªA•W€‰»‚µ‚ÄŠm”F‚µ‚Ă݂éB

•W€‰»‚µ‚½ƒf[ƒ^‚̂ݔ²‚«o‚µ‚µ‚ÄAV‚µ‚¢•\‚ð쬂·‚é

‚±‚Ì•W€‰»‚³‚ꂽŠeƒf[ƒ^‚ðŽg—p‚µ‚ÄAd‰ñ‹A•ªÍ‚·‚邯AŠe•Ήñ‹AŒW”‚ÍAã‚̂悤‚È•\‚ƂȂéB‚±‚Ì•W€‰»‚³‚ꂽ•Ήñ‹AŒW”‚ðŒ©‚é‚ÆA¤•i‚̕Ήñ‹AŒW”‚ªˆê”Ô‘å‚«‚AŽŸ‚É“Xˆõ‚̕Ήñ‹AŒW”‚ƂȂÁ‚Ä‚¢‚éBà–¾•Ï—ÊX3(¤•i)‚Ì–Ú“I•Ï—Ê(”„ã‚°)—^‚¦‚é‰e‹¿‚ªˆê”Ô‘å‚«‚¢B
‚Ü‚½Ž®‚ðŽg—p‚µ‚ÄA•W€‰»‚µ‚½•Ήñ‹AŒW”‚ð‹‚ß‚Ä‚à“¯‚¶Œ‹‰Ê‚𓾂ç‚ê‚é
•W€‰»‘O‚̕ϗÊX1:0.119845132@X1‚Ì•W€•η€Y‚Ì•W€•η=0.3881619@
•W€‰»‚µ‚½Žž‚̕ϗÊX1‚ÌŒW”:0.119845132~0.3881619=0.046519
‘¼‚Ìà–¾•ϗʂɂ‚¢‚Äs‚Á‚Ä‚à“¯—l‚ÌŒ‹‰Ê‚ƂȂéB